
How is glucose related with fructose?
(A)Functional group isomerism
(B)Rotamers
(C)Position isomerism
(D)Geometrical isomerism
Answer
583.8k+ views
Hint: Both glucose and fructose have the same molecular formula but glucose is an aldohexose also known as dextrose and has 5 hydroxyl groups attached to it and an aldehydic group, while fructose is a ketohexose sugar having 5 hydroxy groups and a ketone group at second carbon position.
Complete step by step answer:
-First let us all see both glucose and fructose individually.
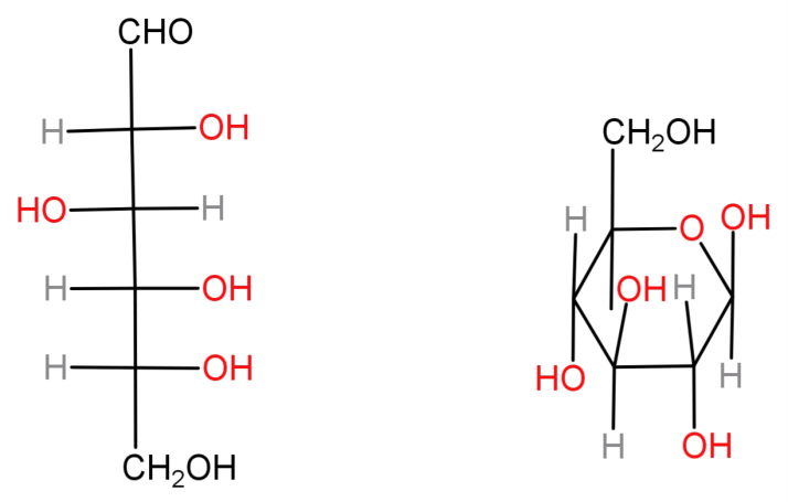
-Glucose: It is an aldohexose sugar also known as dextrose. It is a monosaccharide and forms the monomer of many large carbohydrates including cellulose and starch.
It’s molecular formula is: ${C_6}{H_{12}}{O_6}$ . In its open chain structure 5 carbons are attached to hydroxyl groups (-OH) while terminal carbon forms an aldehyde. But usually glucose is found as a six membered cyclic structure called pyranose structure (α and β forms). Both these structures are shown below:
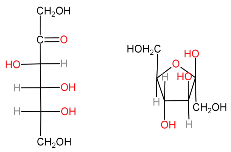
-Fructose: It is a ketohexose sugar. Even it is a monosaccharide and is usually found as a monomer attached to glucose forming sucrose. It is a natural monosaccharide usually found in honey, fruits and vegetables.
It’s molecular formula is: ${C_6}{H_{12}}{O_6}$ . In its open chain structure the carbon at position 2 has a ketone functional group and the rest are attached to a hydroxyl group (-OH). It is also usually found in its 5 membered cyclic form known as furanose (α and β forms). Both these structures are shown below:
-Above we saw that both glucose and fructose have the same molecular formula but different functional groups (glucose has aldehyde while fructose has ketone). Hence both of them will be functional group isomers.
-They cannot be rotamers because rotamers are any set of conformers that arise from restricted rotation around a single bond. This is not the case here.
-They cannot be position isomers because positional isomerism requires both of them to have the same functional group.
-In geometrical isomerism the compounds have the same number and types of bonds between those atoms, but differ only in the geometries for those atoms. Glucose and fructose do not have the same type of bonds (due to presence of different functional groups) and hence they cannot be geometrical isomers.
So, the correct option is: (A) functional group isomerism.
Note: Just by seeing the same molecular formulas do not think glucose and fructose to be positional isomerism because for this they need to have the same functional group as well. Since their functional groups are different they cannot be position isomers.
Complete step by step answer:
-First let us all see both glucose and fructose individually.
-Glucose: It is an aldohexose sugar also known as dextrose. It is a monosaccharide and forms the monomer of many large carbohydrates including cellulose and starch.
It’s molecular formula is: ${C_6}{H_{12}}{O_6}$ . In its open chain structure 5 carbons are attached to hydroxyl groups (-OH) while terminal carbon forms an aldehyde. But usually glucose is found as a six membered cyclic structure called pyranose structure (α and β forms). Both these structures are shown below:
-Fructose: It is a ketohexose sugar. Even it is a monosaccharide and is usually found as a monomer attached to glucose forming sucrose. It is a natural monosaccharide usually found in honey, fruits and vegetables.
It’s molecular formula is: ${C_6}{H_{12}}{O_6}$ . In its open chain structure the carbon at position 2 has a ketone functional group and the rest are attached to a hydroxyl group (-OH). It is also usually found in its 5 membered cyclic form known as furanose (α and β forms). Both these structures are shown below:
-Above we saw that both glucose and fructose have the same molecular formula but different functional groups (glucose has aldehyde while fructose has ketone). Hence both of them will be functional group isomers.
-They cannot be rotamers because rotamers are any set of conformers that arise from restricted rotation around a single bond. This is not the case here.
-They cannot be position isomers because positional isomerism requires both of them to have the same functional group.
-In geometrical isomerism the compounds have the same number and types of bonds between those atoms, but differ only in the geometries for those atoms. Glucose and fructose do not have the same type of bonds (due to presence of different functional groups) and hence they cannot be geometrical isomers.
So, the correct option is: (A) functional group isomerism.
Note: Just by seeing the same molecular formulas do not think glucose and fructose to be positional isomerism because for this they need to have the same functional group as well. Since their functional groups are different they cannot be position isomers.
Recently Updated Pages
A man running at a speed 5 ms is viewed in the side class 12 physics CBSE

State and explain Hardy Weinbergs Principle class 12 biology CBSE

Which of the following statements is wrong a Amnion class 12 biology CBSE

Two Planoconcave lenses 1 and 2 of glass of refractive class 12 physics CBSE

The compound 2 methyl 2 butene on reaction with NaIO4 class 12 chemistry CBSE

Bacterial cell wall is made up of A Cellulose B Hemicellulose class 12 biology CBSE

Trending doubts
Explain sex determination in humans with line diag class 12 biology CBSE

The pH of the pancreatic juice is A 64 B 86 C 120 D class 12 biology CBSE

Which prominent US inventor was known as the Wizard class 12 social science CBSE

Which state in India is known as the Granary of India class 12 social science CBSE

Draw a ray diagram of compound microscope when the class 12 physics CBSE

When was the first election held in India a 194748 class 12 sst CBSE

