
Give the structure of polyisoprene (natural rubber). Write down the ozonolysis of isoprene.
Answer
534.6k+ views
Hint: This question gives the knowledge about the natural rubber or polyisoprene and ozonolysis. Natural rubber is basically the polymer of isoprene units which are loosely attached that is why it is known as polyisoprene.
Complete step-by-step answer: Generally, various is isoprene units connect with each other to form natural rubber. It is obtained from the latex sap of rubber plants. . Natural rubbers are different from synthetic rubbers because natural rubbers are obtained from plants whereas synthetic rubbers are synthesized in laboratories. Synthetic rubbers are generally synthesized from petro chemicals. It is very elastic in nature.
Natural rubber is used for various applications which are as follows:
1.Due to compressibility and high tensile strength, it is useful in various engineering applications such as drive couplings, anti-vibration mounts, springs, rubber bands, adhesives and bearings.
2.It is also used in making high-performance tires for buses, aircrafts and race cars because of its heat resistant nature and high tensile strength.
3.It is also used in making shoe soles, footballs and so forth.
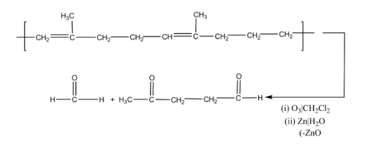
The structure of polyisoprene (natural rubber) consists of various isoprene units attached together. This can also be synthesized with the help of Ziegler-Natta polymerization.
Ozonolysis is the process which leads to the cleavage of unsaturated bonds of alkynes, alkenes or azo compounds with the help of ozone.
Note: Ozonolysis is the process which generally leads to the breakage of unsaturated bonds of alkynes, alkenes or azo compounds with the help of ozone molecules. Natural rubber is a polymer which is manufactured by the addition of various isoprene units.
Complete step-by-step answer: Generally, various is isoprene units connect with each other to form natural rubber. It is obtained from the latex sap of rubber plants. . Natural rubbers are different from synthetic rubbers because natural rubbers are obtained from plants whereas synthetic rubbers are synthesized in laboratories. Synthetic rubbers are generally synthesized from petro chemicals. It is very elastic in nature.
Natural rubber is used for various applications which are as follows:
1.Due to compressibility and high tensile strength, it is useful in various engineering applications such as drive couplings, anti-vibration mounts, springs, rubber bands, adhesives and bearings.
2.It is also used in making high-performance tires for buses, aircrafts and race cars because of its heat resistant nature and high tensile strength.
3.It is also used in making shoe soles, footballs and so forth.
The structure of polyisoprene (natural rubber) consists of various isoprene units attached together. This can also be synthesized with the help of Ziegler-Natta polymerization.
Ozonolysis is the process which leads to the cleavage of unsaturated bonds of alkynes, alkenes or azo compounds with the help of ozone.
Note: Ozonolysis is the process which generally leads to the breakage of unsaturated bonds of alkynes, alkenes or azo compounds with the help of ozone molecules. Natural rubber is a polymer which is manufactured by the addition of various isoprene units.
Recently Updated Pages
A man running at a speed 5 ms is viewed in the side class 12 physics CBSE

State and explain Hardy Weinbergs Principle class 12 biology CBSE

Which of the following statements is wrong a Amnion class 12 biology CBSE

Two Planoconcave lenses 1 and 2 of glass of refractive class 12 physics CBSE

The compound 2 methyl 2 butene on reaction with NaIO4 class 12 chemistry CBSE

Bacterial cell wall is made up of A Cellulose B Hemicellulose class 12 biology CBSE

Trending doubts
What are the major means of transport Explain each class 12 social science CBSE

Which are the Top 10 Largest Countries of the World?

Draw a labelled sketch of the human eye class 12 physics CBSE

State the principle of an ac generator and explain class 12 physics CBSE

Sketch the electric field lines in case of an electric class 12 physics CBSE

Give 10 examples of unisexual and bisexual flowers

