
Gabriel synthesis is used for the synthesis of:
A.Primary amines
B.Secondary amines
C.Aldehydes
D.Acids
Answer
568.2k+ views
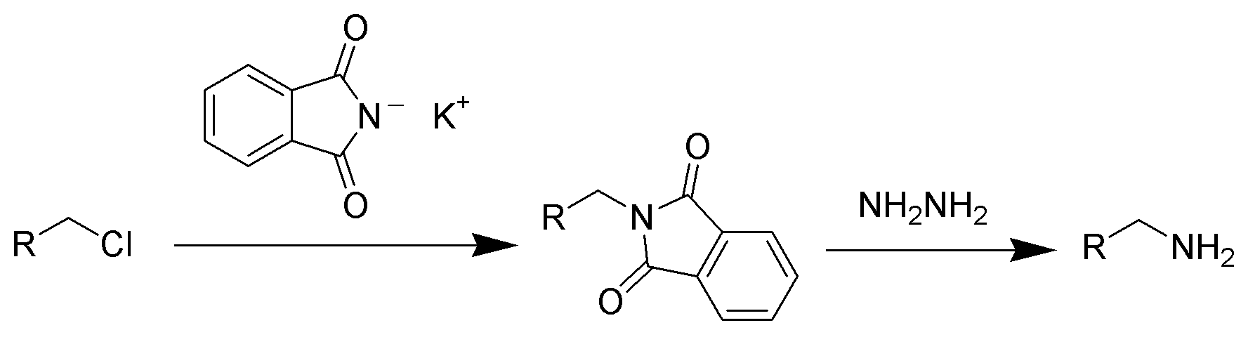
Hint:Gabriel synthesis is a chemical reaction that helps to convert primary alkyl halides into primary amines by using potassium phthalimide. The name of this reaction is named after the German chemist Siegmund Gabriel.
Complete step by step answer:In the Gabriel synthesis method, the sodium or potassium salt of phthalimide is reacted with a primary alkyl halide to form the corresponding N-alkyl phthalimide in the presence of ethanolic potassium hydroxide. After that by the process of acidic hydrolysis, the primary amine is liberated as the amine salt. This reaction includes alkylation of sulfonamides and amide to produce or obtain amines but the alkylation of ammonia is an inefficient and unselective route to obtain amines.
Alcohols are derivatives of water just like these amines are derivatives of ammonia. It has hydrogen with nitrogen and/or alkyl groups attached to it. It has a lone pair of electrons on the nitrogen with the shape of pyramidal around the nitrogen. It can be classified as primary, secondary, and tertiary amines. Primary and secondary amines have H-bond, so it has high boiling points and these are more soluble in water as compared to tertiary amines.
Hence, option A is correct.
Additional information:
Methods for preparation of amines-
SN2 reaction of alkyl halides
The Azide synthesis to produce primary amines
Reduction of nitro compound
Reductive Amination of aldehydes and ketones
Reduction of nitriles and amides
Note: Do not make a mistake in the question where alkyl amines and aromatic amines are present as an option in the reaction of Gabriel synthesis. Because aromatic amines are not produced by the method of Gabriel phthalimide synthesis because aryl halides do not undergo nucleophilic substitution reaction.
Complete step by step answer:In the Gabriel synthesis method, the sodium or potassium salt of phthalimide is reacted with a primary alkyl halide to form the corresponding N-alkyl phthalimide in the presence of ethanolic potassium hydroxide. After that by the process of acidic hydrolysis, the primary amine is liberated as the amine salt. This reaction includes alkylation of sulfonamides and amide to produce or obtain amines but the alkylation of ammonia is an inefficient and unselective route to obtain amines.
Alcohols are derivatives of water just like these amines are derivatives of ammonia. It has hydrogen with nitrogen and/or alkyl groups attached to it. It has a lone pair of electrons on the nitrogen with the shape of pyramidal around the nitrogen. It can be classified as primary, secondary, and tertiary amines. Primary and secondary amines have H-bond, so it has high boiling points and these are more soluble in water as compared to tertiary amines.
Hence, option A is correct.
Additional information:
Methods for preparation of amines-
SN2 reaction of alkyl halides
The Azide synthesis to produce primary amines
Reduction of nitro compound
Reductive Amination of aldehydes and ketones
Reduction of nitriles and amides
Note: Do not make a mistake in the question where alkyl amines and aromatic amines are present as an option in the reaction of Gabriel synthesis. Because aromatic amines are not produced by the method of Gabriel phthalimide synthesis because aryl halides do not undergo nucleophilic substitution reaction.
Recently Updated Pages
Why are manures considered better than fertilizers class 11 biology CBSE

Find the coordinates of the midpoint of the line segment class 11 maths CBSE

Distinguish between static friction limiting friction class 11 physics CBSE

The Chairman of the constituent Assembly was A Jawaharlal class 11 social science CBSE

The first National Commission on Labour NCL submitted class 11 social science CBSE

Number of all subshell of n + l 7 is A 4 B 5 C 6 D class 11 chemistry CBSE

Trending doubts
What is meant by exothermic and endothermic reactions class 11 chemistry CBSE

10 examples of friction in our daily life

One Metric ton is equal to kg A 10000 B 1000 C 100 class 11 physics CBSE

1 Quintal is equal to a 110 kg b 10 kg c 100kg d 1000 class 11 physics CBSE

Difference Between Prokaryotic Cells and Eukaryotic Cells

What are Quantum numbers Explain the quantum number class 11 chemistry CBSE

