
Four identical particles of mass $M$are located at the corners of a square of side $'a'$. What should be their speed if each of them revolves under the influence of others gravitational field in a circular orbit circumscribing the square?
$A.1.21\sqrt{\dfrac{GM}{a}}$
$B.1.41\sqrt{\dfrac{GM}{a}}$
$C.1.16\sqrt{\dfrac{GM}{a}}$
$D.1.35\sqrt{\dfrac{GM}{a}}$
Answer
557.4k+ views
Hint: We should first draw the free body diagram of the given figure to solve the problem. Apply the equation for gravitation $F=\dfrac{G{{m}_{1}}{{m}_{2}}}{{{r}^{2}}}$ after making the free body diagram to get the required solution. Idea of centripetal force is going to help in solving this. The force which is essential to keep the body moving in a curved path and it is directed towards the centre is called centripetal force.
Formula used:
We will use the following relations according to the free body diagram to get the required answer:-
$F=G\dfrac{{{m}_{1}}.{{m}_{2}}}{{{r}^{2}}}$ and ${{F}_{C}}=\dfrac{m{{v}^{2}}}{r}$
Complete step by step answer:
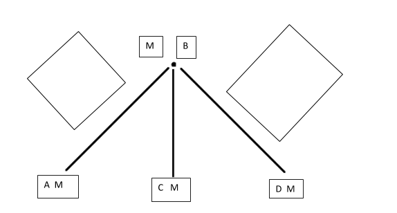
We have the diagram as
We will draw the free body diagram of the given figure in the problem as follows:-
$\dfrac{G{{M}^{2}}}{2{{a}^{2}}}$
In this diagram $A$, $B$, $C$ and $D$ are positions of particles of mass of $M$.
From the free body diagram made above and considering the basics of geometry, we can write the net force as follows:-
${{F}_{{}}}=\dfrac{G{{M}^{2}}}{2{{a}^{2}}}+\dfrac{G{{M}^{2}}}{{{a}^{2}}}\sqrt{2}$…………… $(i)$
Taking $\dfrac{G{{M}^{2}}}{{{a}^{2}}}$common in$(i)$, we get
$F=\dfrac{G{{M}^{2}}}{{{a}^{2}}}\left( \dfrac{1}{2}+\sqrt{2} \right)$……………….. $(ii)$
This force will be equal to the centripetal force from the centre of the circle. Distance from the centre of the circle is $\dfrac{a}{\sqrt{2}}$(from the basics of geometry).
Therefore, the centripetal force from the centre is given as follows:-
${{F}_{C}}=\dfrac{M{{v}^{2}}}{\dfrac{a}{\sqrt{2}}}$…………… $(iii)$
But the forces in $(ii)$and $(iii)$must be equal.
So, $F={{F}_{C}}$
$\dfrac{G{{M}^{2}}}{{{a}^{2}}}\left( \dfrac{1}{2}+\sqrt{2} \right)=\dfrac{M{{v}^{2}}}{\dfrac{a}{\sqrt{2}}}$
Simplifying the equation, we get
$\dfrac{GM}{a}\left( \dfrac{1}{2\sqrt{2}}+1 \right)={{v}^{2}}$
Solving and simplifying further, we get
${{v}^{2}}=\dfrac{GM}{a}(1.35)$
$v=\sqrt{\dfrac{GM}{a}}1.16$
$v=1.16\sqrt{\dfrac{GM}{a}}$
Hence, we get the correct option which is option$(c)$.
Note: In these types of problems we should not be confused between centripetal force and centrifugal force. Basics of geometry regarding square and triangles are required to find out the distances between the given masses. Always try to start with a basic equation and then solve accordingly. We should draw the correct free body diagram.
Formula used:
We will use the following relations according to the free body diagram to get the required answer:-
$F=G\dfrac{{{m}_{1}}.{{m}_{2}}}{{{r}^{2}}}$ and ${{F}_{C}}=\dfrac{m{{v}^{2}}}{r}$
Complete step by step answer:
We have the diagram as
We will draw the free body diagram of the given figure in the problem as follows:-
$\dfrac{G{{M}^{2}}}{2{{a}^{2}}}$
In this diagram $A$, $B$, $C$ and $D$ are positions of particles of mass of $M$.
From the free body diagram made above and considering the basics of geometry, we can write the net force as follows:-
${{F}_{{}}}=\dfrac{G{{M}^{2}}}{2{{a}^{2}}}+\dfrac{G{{M}^{2}}}{{{a}^{2}}}\sqrt{2}$…………… $(i)$
Taking $\dfrac{G{{M}^{2}}}{{{a}^{2}}}$common in$(i)$, we get
$F=\dfrac{G{{M}^{2}}}{{{a}^{2}}}\left( \dfrac{1}{2}+\sqrt{2} \right)$……………….. $(ii)$
This force will be equal to the centripetal force from the centre of the circle. Distance from the centre of the circle is $\dfrac{a}{\sqrt{2}}$(from the basics of geometry).
Therefore, the centripetal force from the centre is given as follows:-
${{F}_{C}}=\dfrac{M{{v}^{2}}}{\dfrac{a}{\sqrt{2}}}$…………… $(iii)$
But the forces in $(ii)$and $(iii)$must be equal.
So, $F={{F}_{C}}$
$\dfrac{G{{M}^{2}}}{{{a}^{2}}}\left( \dfrac{1}{2}+\sqrt{2} \right)=\dfrac{M{{v}^{2}}}{\dfrac{a}{\sqrt{2}}}$
Simplifying the equation, we get
$\dfrac{GM}{a}\left( \dfrac{1}{2\sqrt{2}}+1 \right)={{v}^{2}}$
Solving and simplifying further, we get
${{v}^{2}}=\dfrac{GM}{a}(1.35)$
$v=\sqrt{\dfrac{GM}{a}}1.16$
$v=1.16\sqrt{\dfrac{GM}{a}}$
Hence, we get the correct option which is option$(c)$.
Note: In these types of problems we should not be confused between centripetal force and centrifugal force. Basics of geometry regarding square and triangles are required to find out the distances between the given masses. Always try to start with a basic equation and then solve accordingly. We should draw the correct free body diagram.
Recently Updated Pages
Why are manures considered better than fertilizers class 11 biology CBSE

Find the coordinates of the midpoint of the line segment class 11 maths CBSE

Distinguish between static friction limiting friction class 11 physics CBSE

The Chairman of the constituent Assembly was A Jawaharlal class 11 social science CBSE

The first National Commission on Labour NCL submitted class 11 social science CBSE

Number of all subshell of n + l 7 is A 4 B 5 C 6 D class 11 chemistry CBSE

Trending doubts
What is meant by exothermic and endothermic reactions class 11 chemistry CBSE

10 examples of friction in our daily life

One Metric ton is equal to kg A 10000 B 1000 C 100 class 11 physics CBSE

1 Quintal is equal to a 110 kg b 10 kg c 100kg d 1000 class 11 physics CBSE

Difference Between Prokaryotic Cells and Eukaryotic Cells

What are Quantum numbers Explain the quantum number class 11 chemistry CBSE

