
How do you find the roots of ${x^3} + {x^2} - 5x + 3 = 0$?
Answer
543k+ views
Hint: Given a polynomial and the zeros of the polynomial are determined by finding the values of $x$ for which the polynomial is equal to zero. Then we will apply the rational root theorem which states that the rational root is of the form $r = \pm \dfrac{p}{q}$ where the denominator must divide by the leading coefficient and the numerator is divided by the constant. Then, the other factors are computed by a long division method. Then, factorize further the factors thus obtained by splitting the middle term.
Complete step-by-step answer:
Here in the polynomial, $q = 1$ and $p = 3$. First, we will find the factors of the trailing constant.
$p = 1,3$
Therefore, the possible rational roots of the polynomial are $ \pm \dfrac{1}{1}, \pm \dfrac{3}{1}$
Now we will substitute the value of roots one by one into the polynomial to check for which value the polynomial is zero.
By substituting $x = 1$ into the polynomial.
$ \Rightarrow {\left( 1 \right)^3} + {\left( 1 \right)^2} - 5\left( 1 \right) + 3$
On simplifying the expression, we get:
$ \Rightarrow 1 + 1 - 5 + 3 = 0$
Thus, $f\left( x \right) = 0$ at $x = 1$ which means $\left( {x - 1} \right)$ is a factor of the polynomial.
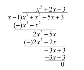
We will find other factors of the polynomial by dividing the polynomial by the factor $\left( {x - 1} \right)$ using the long division method.
Thus, the factors of the polynomial are $\left( {x - 1} \right)\left( {{x^2} + 2x - 3} \right)$
Now, we will factorize the factor ${x^2} + 2x - 3$ by splitting the middle term whose sum is $2$ and product is $ - 3$.
$ \Rightarrow {x^2} + 3x - x - 3$
\[ \Rightarrow x\left( {x + 3} \right) - 1\left( {x + 3} \right)\]
\[ \Rightarrow \left( {x - 1} \right)\left( {x + 3} \right)\]
Hence, the factors of the polynomial are \[\left( {x - 1} \right)\left( {x - 1} \right)\left( {x + 3} \right)\].
Note:
In such types of questions students mainly don't get an approach on how to solve it. In such types of questions students mainly forget to apply the rational root theorem by which factorizes the whole expression. Sometimes we have to factor out a number from an expression then the expression forms in a way so that it can be factorized and identity can be applied. In such types of questions, to factor, the polynomial synthetic division can also be used instead of the long division process.
Complete step-by-step answer:
Here in the polynomial, $q = 1$ and $p = 3$. First, we will find the factors of the trailing constant.
$p = 1,3$
Therefore, the possible rational roots of the polynomial are $ \pm \dfrac{1}{1}, \pm \dfrac{3}{1}$
Now we will substitute the value of roots one by one into the polynomial to check for which value the polynomial is zero.
By substituting $x = 1$ into the polynomial.
$ \Rightarrow {\left( 1 \right)^3} + {\left( 1 \right)^2} - 5\left( 1 \right) + 3$
On simplifying the expression, we get:
$ \Rightarrow 1 + 1 - 5 + 3 = 0$
Thus, $f\left( x \right) = 0$ at $x = 1$ which means $\left( {x - 1} \right)$ is a factor of the polynomial.
We will find other factors of the polynomial by dividing the polynomial by the factor $\left( {x - 1} \right)$ using the long division method.
Thus, the factors of the polynomial are $\left( {x - 1} \right)\left( {{x^2} + 2x - 3} \right)$
Now, we will factorize the factor ${x^2} + 2x - 3$ by splitting the middle term whose sum is $2$ and product is $ - 3$.
$ \Rightarrow {x^2} + 3x - x - 3$
\[ \Rightarrow x\left( {x + 3} \right) - 1\left( {x + 3} \right)\]
\[ \Rightarrow \left( {x - 1} \right)\left( {x + 3} \right)\]
Hence, the factors of the polynomial are \[\left( {x - 1} \right)\left( {x - 1} \right)\left( {x + 3} \right)\].
Note:
In such types of questions students mainly don't get an approach on how to solve it. In such types of questions students mainly forget to apply the rational root theorem by which factorizes the whole expression. Sometimes we have to factor out a number from an expression then the expression forms in a way so that it can be factorized and identity can be applied. In such types of questions, to factor, the polynomial synthetic division can also be used instead of the long division process.
Recently Updated Pages
Why are manures considered better than fertilizers class 11 biology CBSE

Find the coordinates of the midpoint of the line segment class 11 maths CBSE

Distinguish between static friction limiting friction class 11 physics CBSE

The Chairman of the constituent Assembly was A Jawaharlal class 11 social science CBSE

The first National Commission on Labour NCL submitted class 11 social science CBSE

Number of all subshell of n + l 7 is A 4 B 5 C 6 D class 11 chemistry CBSE

Trending doubts
1 Quintal is equal to a 110 kg b 10 kg c 100kg d 1000 class 11 physics CBSE

What is Environment class 11 chemistry CBSE

Bond order ofO2 O2+ O2 and O22 is in order A O2 langle class 11 chemistry CBSE

How many squares are there in a chess board A 1296 class 11 maths CBSE

Distinguish between verbal and nonverbal communica class 11 english CBSE

The equivalent weight of Mohrs salt FeSO4 NH42SO4 6H2O class 11 chemistry CBSE

