
Find the ratio in which the point \[P\left( 3,5 \right)\] divides $\overline{AB}$ where \[A\left( 1,3 \right)\] and $B\left( 7,9 \right)$.
Answer
582.9k+ views
Hint: We will first start defining the section formula and then we will apply the section formula for internal division that is $P\left( a,b \right)=\left( \dfrac{x{{a}_{2}}+y{{a}_{1}}}{x+y},\dfrac{x{{b}_{2}}+y{{b}_{1}}}{x+y} \right)$ to our given points and then get our ratio and hence, the answer. We have the points as $P\left( a,b \right)=P\left( 3,5 \right)$ , $A\left( {{a}_{1}},{{b}_{1}} \right)=A\left( 1,3 \right)$ and $B\left( {{a}_{2}},{{b}_{2}} \right)=B\left( 7,9 \right)$ .
Complete step by step answer:
To find the ratio in which the point \[P\left( 3,5 \right)\] divides $\overline{AB}$ where \[A\left( 1,3 \right)\] and $B\left( 7,9 \right)$ , we will use the section formula. First let’s define what a section formula is.
So basically, the section formula tells us the coordinates of the point which divides a given line segment into two parts such that their lengths are in the ratio $x:y$ as shown in the following figure:
Now, let’s see the formula of the internal division with section formula:
If point $P\left( a,b \right)$ lies on line segment $AB$ (between points $A$ and $B$) and satisfies \[AP:PB=x:y\] , then we say that $P$ divides \[AB\] internally in the ratio $x:y$ . The point of division has the coordinates:
$P\left( a,b \right)=\left( \dfrac{x{{a}_{2}}+y{{a}_{1}}}{x+y},\dfrac{x{{b}_{2}}+y{{b}_{1}}}{x+y} \right)$
So, let’s take the question, and see it is given that the point \[P\left( 3,5 \right)\] divides $\overline{AB}$ where \[A\left( 1,3 \right)\] and $B\left( 7,9 \right)$ :
Now, we can solve this question in normal method by assuming the ratio to be $x:y$ . But now we will take a different substitution. Let’s assume that $k=\dfrac{x}{y}$ so that $x:y=k:1$ .
Now the required ratio will be $k:1$, now the formula for internal division will become:
\[P\left( a,b \right)=\left( \dfrac{k{{a}_{2}}+{{a}_{1}}}{k+1},\dfrac{k{{b}_{2}}+{{b}_{1}}}{k+1} \right)\]
Now we have $P\left( a,b \right)=P\left( 3,5 \right)$ , $A\left( {{a}_{1}},{{b}_{1}} \right)=A\left( 1,3 \right)$ and $B\left( {{a}_{2}},{{b}_{2}} \right)=B\left( 7,9 \right)$ :
\[\begin{align}
& \Rightarrow P\left( a,b \right)=\left( \dfrac{k{{a}_{2}}+{{a}_{1}}}{k+1},\dfrac{k{{b}_{2}}+{{b}_{1}}}{k+1} \right)\Rightarrow a=\dfrac{k{{a}_{2}}+{{a}_{1}}}{k+1} \\
& \Rightarrow 3=\dfrac{\left( k\times 7 \right)+1}{k+1}\Rightarrow 3=\dfrac{7k+1}{k+1}\Rightarrow 3\left( k+1 \right)=7k+1 \\
& \Rightarrow 3k+3=7k+1\Rightarrow 3-1=7k-3k\Rightarrow 2=4k \\
& \Rightarrow k=\dfrac{1}{2} \\
\end{align}\]
Therefore, the ratio in which \[P\left( 3,5 \right)\] divides $\overline{AB}$ is $1:2$ .
Note:
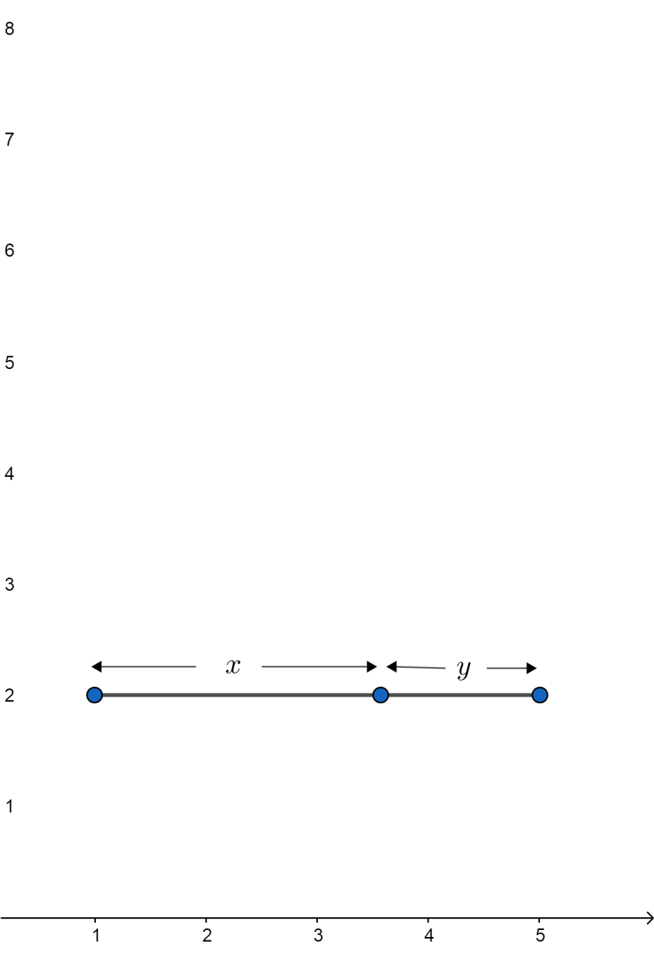
We can also solve this by following method with the graph, so we have:
Now, from the graph we have:
$\begin{align}
& \Rightarrow x=\left( 5-3 \right)=2,y=\left( 9-5 \right)=4 \\
& \Rightarrow x:y=2:4=1:2 \\
& \Rightarrow a=\left( 3-1 \right)=2,b=\left( 7-3 \right)=4 \\
& \Rightarrow a:b=2:4=1:2 \\
\end{align}$
Therefore, the ratio is $1:2$ .
Complete step by step answer:
To find the ratio in which the point \[P\left( 3,5 \right)\] divides $\overline{AB}$ where \[A\left( 1,3 \right)\] and $B\left( 7,9 \right)$ , we will use the section formula. First let’s define what a section formula is.
So basically, the section formula tells us the coordinates of the point which divides a given line segment into two parts such that their lengths are in the ratio $x:y$ as shown in the following figure:
Now, let’s see the formula of the internal division with section formula:
If point $P\left( a,b \right)$ lies on line segment $AB$ (between points $A$ and $B$) and satisfies \[AP:PB=x:y\] , then we say that $P$ divides \[AB\] internally in the ratio $x:y$ . The point of division has the coordinates:
$P\left( a,b \right)=\left( \dfrac{x{{a}_{2}}+y{{a}_{1}}}{x+y},\dfrac{x{{b}_{2}}+y{{b}_{1}}}{x+y} \right)$
So, let’s take the question, and see it is given that the point \[P\left( 3,5 \right)\] divides $\overline{AB}$ where \[A\left( 1,3 \right)\] and $B\left( 7,9 \right)$ :
Now, we can solve this question in normal method by assuming the ratio to be $x:y$ . But now we will take a different substitution. Let’s assume that $k=\dfrac{x}{y}$ so that $x:y=k:1$ .
Now the required ratio will be $k:1$, now the formula for internal division will become:
\[P\left( a,b \right)=\left( \dfrac{k{{a}_{2}}+{{a}_{1}}}{k+1},\dfrac{k{{b}_{2}}+{{b}_{1}}}{k+1} \right)\]
Now we have $P\left( a,b \right)=P\left( 3,5 \right)$ , $A\left( {{a}_{1}},{{b}_{1}} \right)=A\left( 1,3 \right)$ and $B\left( {{a}_{2}},{{b}_{2}} \right)=B\left( 7,9 \right)$ :
\[\begin{align}
& \Rightarrow P\left( a,b \right)=\left( \dfrac{k{{a}_{2}}+{{a}_{1}}}{k+1},\dfrac{k{{b}_{2}}+{{b}_{1}}}{k+1} \right)\Rightarrow a=\dfrac{k{{a}_{2}}+{{a}_{1}}}{k+1} \\
& \Rightarrow 3=\dfrac{\left( k\times 7 \right)+1}{k+1}\Rightarrow 3=\dfrac{7k+1}{k+1}\Rightarrow 3\left( k+1 \right)=7k+1 \\
& \Rightarrow 3k+3=7k+1\Rightarrow 3-1=7k-3k\Rightarrow 2=4k \\
& \Rightarrow k=\dfrac{1}{2} \\
\end{align}\]
Therefore, the ratio in which \[P\left( 3,5 \right)\] divides $\overline{AB}$ is $1:2$ .
Note:
We can also solve this by following method with the graph, so we have:
Now, from the graph we have:
$\begin{align}
& \Rightarrow x=\left( 5-3 \right)=2,y=\left( 9-5 \right)=4 \\
& \Rightarrow x:y=2:4=1:2 \\
& \Rightarrow a=\left( 3-1 \right)=2,b=\left( 7-3 \right)=4 \\
& \Rightarrow a:b=2:4=1:2 \\
\end{align}$
Therefore, the ratio is $1:2$ .
Recently Updated Pages
Master Class 10 Computer Science: Engaging Questions & Answers for Success

Master Class 10 English: Engaging Questions & Answers for Success

Master Class 10 Social Science: Engaging Questions & Answers for Success

Master Class 10 General Knowledge: Engaging Questions & Answers for Success

Master Class 10 Maths: Engaging Questions & Answers for Success

Master Class 10 Science: Engaging Questions & Answers for Success

Trending doubts
Why is there a time difference of about 5 hours between class 10 social science CBSE

Who Won 36 Oscar Awards? Record Holder Revealed

What is the median of the first 10 natural numbers class 10 maths CBSE

Who was Subhash Chandra Bose Why was he called Net class 10 english CBSE

Write a letter to the principal requesting him to grant class 10 english CBSE

Who is the executive head of the government APresident class 10 social science CBSE

