
Find the number of functional groups in the given compound.
Answer
496.2k+ views
Hint: In organic chemistry, a functional group is a specific group of atoms or molecules which are bonded to compounds at a particular position. These groups account for different characteristic physical and chemical properties of compounds and are responsible to undergo distinctive chemical reactions.
Complete answer:
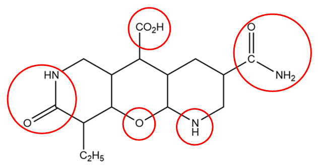
In the structure of the given compound, the functional groups are represented within the red circle as follows:
The general representation and name of the functional groups in the given compound are as follows:
1. Primary amide: The general representation of this group is as follows:
Where, R is an alkyl group and $ CON{H_2} $ part of the structure contributes to the functional group of the compound.
2. Secondary amine: The general representation of this group is $ {R_1} - NH - {R_2} $ , where $ {R_1} $ and $ {R_2} $ are the alkyl groups which can either be same or different and $ - NH - $ part of the structure contributes to the functional group of the compound.
3. Ether: The general representation of this group is $ {R_1} - O - {R_2} $ , where $ {R_1} $ and $ {R_2} $ are the alkyl groups which can either be same or different and $ - O - $ part of the structure contributes to the functional group of the compound.
4. Secondary amide: The general representation of this group is as follows:
where $ {R_1} $ and $ {R_2} $ are the alkyl groups which can either be same or different and the $ - CONH - $ part of the structure contributes to the functional group of the compound.
5. Carboxylic acid: The general representation of this group is as follows:
Where, R is an alkyl group and $ COOH $ part of the structure contributes to the functional group of the compound.
Hence, the total number of functional groups or substituent groups present in the given compound is $ = 5 $ .
Note:
Always remember that the alkanes are not considered as a part of functional groups in an organic compound because alkanes consist of carbon-carbon single bonds which have only one sigma bond and are much stronger and stable than alkene and alkyne molecules. Therefore, in the given compound ethyl group i.e., $ {C_2}{H_5} $ group is not considered as a functional group.
Complete answer:
In the structure of the given compound, the functional groups are represented within the red circle as follows:
The general representation and name of the functional groups in the given compound are as follows:
1. Primary amide: The general representation of this group is as follows:
Where, R is an alkyl group and $ CON{H_2} $ part of the structure contributes to the functional group of the compound.
2. Secondary amine: The general representation of this group is $ {R_1} - NH - {R_2} $ , where $ {R_1} $ and $ {R_2} $ are the alkyl groups which can either be same or different and $ - NH - $ part of the structure contributes to the functional group of the compound.
3. Ether: The general representation of this group is $ {R_1} - O - {R_2} $ , where $ {R_1} $ and $ {R_2} $ are the alkyl groups which can either be same or different and $ - O - $ part of the structure contributes to the functional group of the compound.
4. Secondary amide: The general representation of this group is as follows:
where $ {R_1} $ and $ {R_2} $ are the alkyl groups which can either be same or different and the $ - CONH - $ part of the structure contributes to the functional group of the compound.
5. Carboxylic acid: The general representation of this group is as follows:
Where, R is an alkyl group and $ COOH $ part of the structure contributes to the functional group of the compound.
Hence, the total number of functional groups or substituent groups present in the given compound is $ = 5 $ .
Note:
Always remember that the alkanes are not considered as a part of functional groups in an organic compound because alkanes consist of carbon-carbon single bonds which have only one sigma bond and are much stronger and stable than alkene and alkyne molecules. Therefore, in the given compound ethyl group i.e., $ {C_2}{H_5} $ group is not considered as a functional group.
Recently Updated Pages
Why are manures considered better than fertilizers class 11 biology CBSE

Find the coordinates of the midpoint of the line segment class 11 maths CBSE

Distinguish between static friction limiting friction class 11 physics CBSE

The Chairman of the constituent Assembly was A Jawaharlal class 11 social science CBSE

The first National Commission on Labour NCL submitted class 11 social science CBSE

Number of all subshell of n + l 7 is A 4 B 5 C 6 D class 11 chemistry CBSE

Trending doubts
What is meant by exothermic and endothermic reactions class 11 chemistry CBSE

10 examples of friction in our daily life

One Metric ton is equal to kg A 10000 B 1000 C 100 class 11 physics CBSE

1 Quintal is equal to a 110 kg b 10 kg c 100kg d 1000 class 11 physics CBSE

Difference Between Prokaryotic Cells and Eukaryotic Cells

What are Quantum numbers Explain the quantum number class 11 chemistry CBSE

