
Find all the zeroes of $2{{x}^{4}}-3{{x}^{3}}-3{{x}^{2}}+6x-2$, if you know that two of its zeroes are $\sqrt{2}$ and $-\sqrt{2}$?
Answer
558.6k+ views
Hint: We start solving the problem by recalling the fact that if ‘a’ is zero of the polynomial $f\left( x \right)$, then $x-a$ is the factor of $f\left( x \right)$. We then find the factors using the given zeros and then multiply them. We then perform long division by taking the obtained result of multiplication as a divisor and the given polynomial is divided to get the quotient. We then factorize the quotient and then equate the factors to zero to get all the zeroes of the given polynomial.
Complete step-by-step answer:
According to the problem, we are asked to find the zeros of the polynomial $2{{x}^{4}}-3{{x}^{3}}-3{{x}^{2}}+6x-2$ if two of the zeroes are $\sqrt{2}$ and $-\sqrt{2}$.
We know that if ‘a’ is zero of the polynomial $f\left( x \right)$, then $x-a$ is the factor of $f\left( x \right)$.
So, we get $x-\sqrt{2}$ and $x+\sqrt{2}$ are the factors of the polynomial $2{{x}^{4}}-3{{x}^{3}}-3{{x}^{2}}+6x-2$.
Let us find the multiplication of both the factors $x-\sqrt{2}$ and $x+\sqrt{2}$.
So, the product is $\left( x-\sqrt{2} \right)\times \left( x+\sqrt{2} \right)={{x}^{2}}-2$.
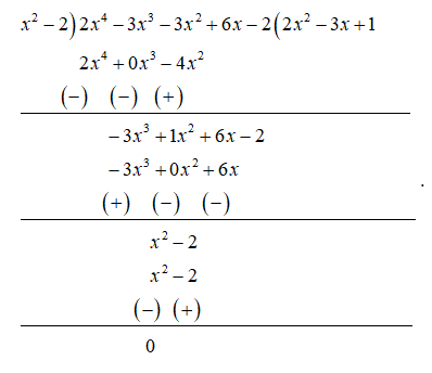
Let us divide $2{{x}^{4}}-3{{x}^{3}}-3{{x}^{2}}+6x-2$ with ${{x}^{2}}-2$ by using long division process as shown below:
From the division algorithm, we know that dividend = $\left( \text{Divisor}\times \text{Quotient} \right)+\text{Remainder}$.
Here we have $2{{x}^{4}}-3{{x}^{3}}-3{{x}^{2}}+6x-2$ as dividend, ${{x}^{2}}-2$ as divisor, $2{{x}^{2}}-3x+1$ as quotient and 0 as the remainder.
So, we get $2{{x}^{4}}-3{{x}^{3}}-3{{x}^{2}}+6x-2=\left( {{x}^{2}}-2 \right)\times \left( 2{{x}^{2}}-3x+1 \right)$.
Now, let us factorize $2{{x}^{2}}-3x+1$ to get the remaining zeros of $2{{x}^{4}}-3{{x}^{3}}-3{{x}^{2}}+6x-2$.
So, we get $2{{x}^{2}}-3x+1=2{{x}^{2}}-2x-x+1$.
$\Rightarrow 2{{x}^{2}}-3x+1=2x\left( x-1 \right)-1\left( x-1 \right)$.
$\Rightarrow 2{{x}^{2}}-3x+1=\left( 2x-1 \right)\left( x-1 \right)$.
So, we have found $2{{x}^{4}}-3{{x}^{3}}-3{{x}^{2}}+6x-2=\left( x-\sqrt{2} \right)\times \left( x+\sqrt{2} \right)\times \left( x-1 \right)\times \left( 2x-1 \right)$.
We know that zeroes are found when the given polynomial is equated to zero.
So, we get $\left( x-\sqrt{2} \right)\times \left( x+\sqrt{2} \right)\times \left( x-1 \right)\times \left( 2x-1 \right)=0$.
\[\Rightarrow x-\sqrt{2}=0\], $x+\sqrt{2}=0$, $x-1=0$, $2x-1=0$.
\[\Rightarrow x=\sqrt{2}\], $x=-\sqrt{2}$, $x=1$, $2x=1$.
\[\Rightarrow x=\sqrt{2}\], $x=-\sqrt{2}$, $x=1$, $x=\dfrac{1}{2}$.
∴ We have found the zeroes of the polynomial $2{{x}^{4}}-3{{x}^{3}}-3{{x}^{2}}+6x-2$ as $\sqrt{2}$, $-\sqrt{2}$, 1, $\dfrac{1}{2}$.
Note: We can solve the problem by performing trial and error method for the given polynomial. We can also solve this problem as shown below:
We are given the polynomial $2{{x}^{4}}-3{{x}^{3}}-3{{x}^{2}}+6x-2$ and two of the zeroes are $\sqrt{2}$ and $-\sqrt{2}$. Let us assume the remaining two zeroes are ‘p’ and ‘q’.
We know that the sum of the zeroes of the polynomial $a{{x}^{4}}+b{{x}^{3}}+c{{x}^{2}}+dx+e$ is $\dfrac{-b}{a}$ and product of the zeroes of the polynomial $a{{x}^{4}}+b{{x}^{3}}+c{{x}^{2}}+dx+e$ is $\dfrac{e}{a}$.
So, we get $\sqrt{2}-\sqrt{2}+p+q=\dfrac{-\left( -3 \right)}{2}$,
$\Rightarrow p+q=\dfrac{3}{2}$.
$\Rightarrow q=\dfrac{3}{2}-p$ ---(1).
Now, we have $\left( \sqrt{2} \right)\times \left( -\sqrt{2} \right)\times p\times q=\dfrac{-2}{2}$.
$\Rightarrow -2pq=-1$.
$\Rightarrow pq=\dfrac{1}{2}$ ---(2).
Let us substitute equation (1) in equation (2).
$\Rightarrow p\left( \dfrac{3}{2}-p \right)=\dfrac{1}{2}$.
$\Rightarrow \dfrac{3}{2}p-{{p}^{2}}=\dfrac{1}{2}$.
$\Rightarrow {{p}^{2}}-\dfrac{3}{2}p+\dfrac{1}{2}=0$.
$\Rightarrow {{p}^{2}}-\dfrac{1}{2}p-p+\dfrac{1}{2}=0$.
$\Rightarrow p\left( p-\dfrac{1}{2} \right)-1\left( p-\dfrac{1}{2} \right)=0$.
$\Rightarrow \left( p-1 \right)\left( p-\dfrac{1}{2} \right)=0$.
$\Rightarrow p-1=0$ or $p-\dfrac{1}{2}=0$.
$\Rightarrow p=1$ or $p=\dfrac{1}{2}$.
Let us substitute these values in equation (2) to get the values of ‘q’.
If $p=1$, then $1\times q=\dfrac{1}{2}\Leftrightarrow q=\dfrac{1}{2}$.
If $p=\dfrac{1}{2}$, then $\dfrac{1}{2}\times q=\dfrac{1}{2}\Leftrightarrow q=1$.
Complete step-by-step answer:
According to the problem, we are asked to find the zeros of the polynomial $2{{x}^{4}}-3{{x}^{3}}-3{{x}^{2}}+6x-2$ if two of the zeroes are $\sqrt{2}$ and $-\sqrt{2}$.
We know that if ‘a’ is zero of the polynomial $f\left( x \right)$, then $x-a$ is the factor of $f\left( x \right)$.
So, we get $x-\sqrt{2}$ and $x+\sqrt{2}$ are the factors of the polynomial $2{{x}^{4}}-3{{x}^{3}}-3{{x}^{2}}+6x-2$.
Let us find the multiplication of both the factors $x-\sqrt{2}$ and $x+\sqrt{2}$.
So, the product is $\left( x-\sqrt{2} \right)\times \left( x+\sqrt{2} \right)={{x}^{2}}-2$.
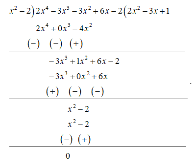
Let us divide $2{{x}^{4}}-3{{x}^{3}}-3{{x}^{2}}+6x-2$ with ${{x}^{2}}-2$ by using long division process as shown below:
From the division algorithm, we know that dividend = $\left( \text{Divisor}\times \text{Quotient} \right)+\text{Remainder}$.
Here we have $2{{x}^{4}}-3{{x}^{3}}-3{{x}^{2}}+6x-2$ as dividend, ${{x}^{2}}-2$ as divisor, $2{{x}^{2}}-3x+1$ as quotient and 0 as the remainder.
So, we get $2{{x}^{4}}-3{{x}^{3}}-3{{x}^{2}}+6x-2=\left( {{x}^{2}}-2 \right)\times \left( 2{{x}^{2}}-3x+1 \right)$.
Now, let us factorize $2{{x}^{2}}-3x+1$ to get the remaining zeros of $2{{x}^{4}}-3{{x}^{3}}-3{{x}^{2}}+6x-2$.
So, we get $2{{x}^{2}}-3x+1=2{{x}^{2}}-2x-x+1$.
$\Rightarrow 2{{x}^{2}}-3x+1=2x\left( x-1 \right)-1\left( x-1 \right)$.
$\Rightarrow 2{{x}^{2}}-3x+1=\left( 2x-1 \right)\left( x-1 \right)$.
So, we have found $2{{x}^{4}}-3{{x}^{3}}-3{{x}^{2}}+6x-2=\left( x-\sqrt{2} \right)\times \left( x+\sqrt{2} \right)\times \left( x-1 \right)\times \left( 2x-1 \right)$.
We know that zeroes are found when the given polynomial is equated to zero.
So, we get $\left( x-\sqrt{2} \right)\times \left( x+\sqrt{2} \right)\times \left( x-1 \right)\times \left( 2x-1 \right)=0$.
\[\Rightarrow x-\sqrt{2}=0\], $x+\sqrt{2}=0$, $x-1=0$, $2x-1=0$.
\[\Rightarrow x=\sqrt{2}\], $x=-\sqrt{2}$, $x=1$, $2x=1$.
\[\Rightarrow x=\sqrt{2}\], $x=-\sqrt{2}$, $x=1$, $x=\dfrac{1}{2}$.
∴ We have found the zeroes of the polynomial $2{{x}^{4}}-3{{x}^{3}}-3{{x}^{2}}+6x-2$ as $\sqrt{2}$, $-\sqrt{2}$, 1, $\dfrac{1}{2}$.
Note: We can solve the problem by performing trial and error method for the given polynomial. We can also solve this problem as shown below:
We are given the polynomial $2{{x}^{4}}-3{{x}^{3}}-3{{x}^{2}}+6x-2$ and two of the zeroes are $\sqrt{2}$ and $-\sqrt{2}$. Let us assume the remaining two zeroes are ‘p’ and ‘q’.
We know that the sum of the zeroes of the polynomial $a{{x}^{4}}+b{{x}^{3}}+c{{x}^{2}}+dx+e$ is $\dfrac{-b}{a}$ and product of the zeroes of the polynomial $a{{x}^{4}}+b{{x}^{3}}+c{{x}^{2}}+dx+e$ is $\dfrac{e}{a}$.
So, we get $\sqrt{2}-\sqrt{2}+p+q=\dfrac{-\left( -3 \right)}{2}$,
$\Rightarrow p+q=\dfrac{3}{2}$.
$\Rightarrow q=\dfrac{3}{2}-p$ ---(1).
Now, we have $\left( \sqrt{2} \right)\times \left( -\sqrt{2} \right)\times p\times q=\dfrac{-2}{2}$.
$\Rightarrow -2pq=-1$.
$\Rightarrow pq=\dfrac{1}{2}$ ---(2).
Let us substitute equation (1) in equation (2).
$\Rightarrow p\left( \dfrac{3}{2}-p \right)=\dfrac{1}{2}$.
$\Rightarrow \dfrac{3}{2}p-{{p}^{2}}=\dfrac{1}{2}$.
$\Rightarrow {{p}^{2}}-\dfrac{3}{2}p+\dfrac{1}{2}=0$.
$\Rightarrow {{p}^{2}}-\dfrac{1}{2}p-p+\dfrac{1}{2}=0$.
$\Rightarrow p\left( p-\dfrac{1}{2} \right)-1\left( p-\dfrac{1}{2} \right)=0$.
$\Rightarrow \left( p-1 \right)\left( p-\dfrac{1}{2} \right)=0$.
$\Rightarrow p-1=0$ or $p-\dfrac{1}{2}=0$.
$\Rightarrow p=1$ or $p=\dfrac{1}{2}$.
Let us substitute these values in equation (2) to get the values of ‘q’.
If $p=1$, then $1\times q=\dfrac{1}{2}\Leftrightarrow q=\dfrac{1}{2}$.
If $p=\dfrac{1}{2}$, then $\dfrac{1}{2}\times q=\dfrac{1}{2}\Leftrightarrow q=1$.
Recently Updated Pages
Two men on either side of the cliff 90m height observe class 10 maths CBSE

What happens to glucose which enters nephron along class 10 biology CBSE

Cutting of the Chinese melon means A The business and class 10 social science CBSE

Write a dialogue with at least ten utterances between class 10 english CBSE

Show an aquatic food chain using the following organisms class 10 biology CBSE

A circle is inscribed in an equilateral triangle and class 10 maths CBSE

Trending doubts
The shortest day of the year in India

Why is there a time difference of about 5 hours between class 10 social science CBSE

Write a letter to the principal requesting him to grant class 10 english CBSE

What is the median of the first 10 natural numbers class 10 maths CBSE

The Equation xxx + 2 is Satisfied when x is Equal to Class 10 Maths

What is the missing number in the sequence 259142027 class 10 maths CBSE

