
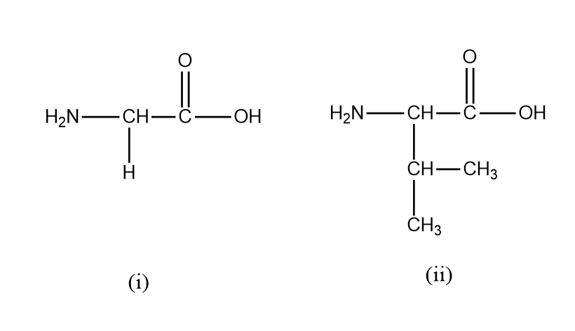
Fig shows two amino acids, glycine and valine. Use the space below to make a drawing to show what happens when these two molecules join together to form a dipeptide.
(A) Glycine
(B) valine
Answer
507.3k+ views
Hint :An amino acid is made up of an amino group, a carboxyl group and an R group that is specific to the amino acid. The R group is what determines the characteristics such as the pH of each amino acid.
Complete Step By Step Answer:
The functional group is the carboxyl group and the amino acid. The functional group are the carboxyl groups and the amine group from the amino acids. There are twenty amino acids and the bonds that form between them are known as peptide bonds.
Glycine and valine are two such amino acids that can be joined through a peptide bond. The structure of each are as follows:
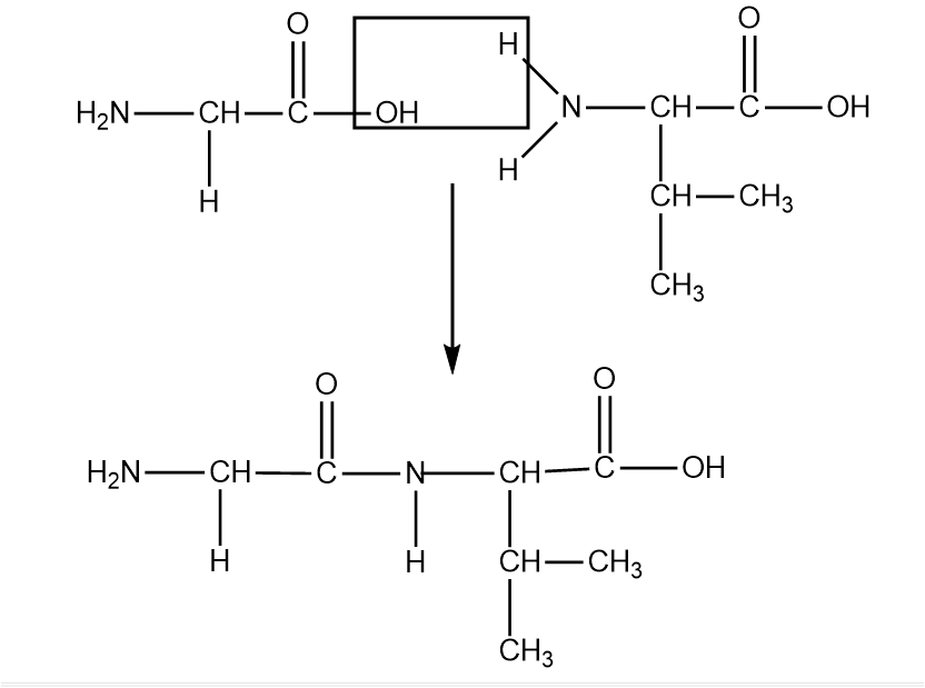
In Glycine, the R group here is H under the central carbon. In Valine the R group here is $ CH(C{H_3})C{H_3} $ under the central carbon. Peptide bonds form between the carboxyl group and one amino acid and the amino group of another amino acid. In this case, the OH form the carboxyl group of glycine will bond with the H from the amino group of valine. This will cause a water loss.
Different amino acids can be joined together to make a protein. The order of the amino acids determines which protein will be made.
Note :
When two amino acids are joined together, a dipeptide is formed. A special chemical bond called a peptide bond holds together two amino acids. Protein usually consists of multiple amino acids that are held together by peptide bonds. So, the bigger the protein, the more amino acids and peptide bonds there are.
Complete Step By Step Answer:
The functional group is the carboxyl group and the amino acid. The functional group are the carboxyl groups and the amine group from the amino acids. There are twenty amino acids and the bonds that form between them are known as peptide bonds.
Glycine and valine are two such amino acids that can be joined through a peptide bond. The structure of each are as follows:
In Glycine, the R group here is H under the central carbon. In Valine the R group here is $ CH(C{H_3})C{H_3} $ under the central carbon. Peptide bonds form between the carboxyl group and one amino acid and the amino group of another amino acid. In this case, the OH form the carboxyl group of glycine will bond with the H from the amino group of valine. This will cause a water loss.
Different amino acids can be joined together to make a protein. The order of the amino acids determines which protein will be made.
Note :
When two amino acids are joined together, a dipeptide is formed. A special chemical bond called a peptide bond holds together two amino acids. Protein usually consists of multiple amino acids that are held together by peptide bonds. So, the bigger the protein, the more amino acids and peptide bonds there are.
Recently Updated Pages
The number of solutions in x in 02pi for which sqrt class 12 maths CBSE

Write any two methods of preparation of phenol Give class 12 chemistry CBSE

Differentiate between action potential and resting class 12 biology CBSE

Two plane mirrors arranged at right angles to each class 12 physics CBSE

Which of the following molecules is are chiral A I class 12 chemistry CBSE

Name different types of neurons and give one function class 12 biology CBSE

Trending doubts
What is 1s 2s 2p 3s 3p class 11 chemistry CBSE

Discuss the various forms of bacteria class 11 biology CBSE

Explain zero factorial class 11 maths CBSE

An example of chemosynthetic bacteria is A E coli B class 11 biology CBSE

Name the metals and nonmetals in the first twenty class 11 chemistry CBSE

Which one of the following is not a method of soil class 11 biology CBSE

