
Fast neutrons can easily be slowed down by:
(A) The use of lead shielding
(B) Passing them through water
(C) Elastic collision with heavy nuclei
(D) Applying strong electric field
Answer
521.7k+ views
Hint :To find out the solution of this question you have to study the features of nuclear reactions occurring in nuclear reactors and how nucleus undergoes fission in it. Further you need to study the qualities of all the above materials given in options and mark the suitable whichever it is.
Complete Step By Step Answer:
The question says that the given neutron is fast and a fast neutron causes nuclear fission.
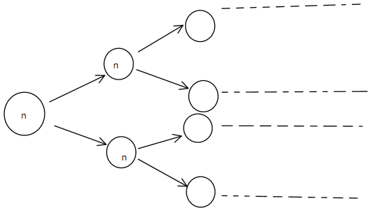
Nuclear fission is the process in which a nucleus gets divided in two or more nuclei. As shown in the figure.
In this figure we can see that the nucleus in the fission reaction gets divided continuously like we see them. The dotted line represents the continuation of nuclear reaction. For example, this type of nuclear fission occurs in nuclear reactors where Uranium- 235 is used. Nuclear reactor reaction takes place vigorously. Neutrons here are fast. To stop this type of vigorous reaction we need some moderator.
Moderator is the medium used to control the speed of neutrons in the reaction. In nuclear reactors these moderators are used to control the speed of reaction or stop the reaction. In nuclear reactors, mainly water is used as moderator. Since, water contains Deuterium which stops neutrons passing from them. For faster moving neutrons, to slow them down we have to pass them through the water.
Thus, here the correct answer is option B.
Note :
Sometimes in options in place of water heavy, may be heavy water is given then both the options with water and heavy water is correct. Heavy water is 80 times more effective than light water. One must study all the moderators used in reactors to slow down the reaction. Mostly U-235 is highly radioactive and fast reacting.
Complete Step By Step Answer:
The question says that the given neutron is fast and a fast neutron causes nuclear fission.
Nuclear fission is the process in which a nucleus gets divided in two or more nuclei. As shown in the figure.
In this figure we can see that the nucleus in the fission reaction gets divided continuously like we see them. The dotted line represents the continuation of nuclear reaction. For example, this type of nuclear fission occurs in nuclear reactors where Uranium- 235 is used. Nuclear reactor reaction takes place vigorously. Neutrons here are fast. To stop this type of vigorous reaction we need some moderator.
Moderator is the medium used to control the speed of neutrons in the reaction. In nuclear reactors these moderators are used to control the speed of reaction or stop the reaction. In nuclear reactors, mainly water is used as moderator. Since, water contains Deuterium which stops neutrons passing from them. For faster moving neutrons, to slow them down we have to pass them through the water.
Thus, here the correct answer is option B.
Note :
Sometimes in options in place of water heavy, may be heavy water is given then both the options with water and heavy water is correct. Heavy water is 80 times more effective than light water. One must study all the moderators used in reactors to slow down the reaction. Mostly U-235 is highly radioactive and fast reacting.
Recently Updated Pages
A man running at a speed 5 ms is viewed in the side class 12 physics CBSE

The number of solutions in x in 02pi for which sqrt class 12 maths CBSE

State and explain Hardy Weinbergs Principle class 12 biology CBSE

Write any two methods of preparation of phenol Give class 12 chemistry CBSE

Which of the following statements is wrong a Amnion class 12 biology CBSE

Differentiate between action potential and resting class 12 biology CBSE

Trending doubts
What are the major means of transport Explain each class 12 social science CBSE

Which are the Top 10 Largest Countries of the World?

Draw a labelled sketch of the human eye class 12 physics CBSE

Explain sex determination in humans with line diag class 12 biology CBSE

Explain sex determination in humans with the help of class 12 biology CBSE

Differentiate between homogeneous and heterogeneous class 12 chemistry CBSE

