
How do you draw the product of the hydrogenation of ethyne?
Answer
522k+ views
Hint: We know that the hydrogenation reaction involves the direct reaction of a substrate containing $ \pi - $ bonds or $ \pi - $ bond like nature with $ {{H}_{2}} $ molecule using a metal like Palladium $ \left( Pd \right) $ , Platinum $ \left( Pt \right) $ , Rhodium $ \left( Rh \right) $ or Nickel $ \left( Ni \right) $ as a base of support for the reaction giving rise to products which may be partially hydrogenated or completely hydrogenated.
Complete step by step answer:
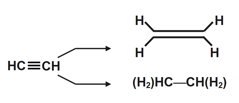
When we treat ethyne which is a chemical species represented by $ HC\equiv CH $ and contains $ 2\pi -bonds $ with a hydrogenating reagent, the product we would obtain is a cis-hydrogenation product always. The one difference however that we may obtain in the product is the number of $ \pi -bonds $ left in them, depending on the reagent used we may obtain an ethene $ \left( C{{H}_{2}}=C{{H}_{2}} \right) $ or an ethane $ \left( C{{H}_{3}}-C{{H}_{3}} \right) $ as the final product. An illustration to show this is provided below:-
The Hydrogens shown in orange are the hydrogens that are obtained from $ {{H}_{2}} $ as you can clearly see the hydrogenation occurs in a cis-manner as seen clear in the product $ \left[ A \right] $ .
Depending on what reagent has been used the partial hydrogenation product $ \left[ A \right] $ or the complete hydrogenation product $ \left[ B \right] $ is obtained. So we must be clearly wary about the reaction conditions and draw the products required accordingly. To help understand the process of hydrogenation in an even more clear manner let us look at the illustration below:
Note: Note that generally for partial hydrogenation a catalyst is poisoned using some chemical species which reduces its reactivity so take note on every species present also when forming ethane you don’t need to show cis-attack as in case of ethane due to presence of only a single bond it can easily rotate and thus no purely cis or trans species can be obtained for ethane.
Complete step by step answer:
When we treat ethyne which is a chemical species represented by $ HC\equiv CH $ and contains $ 2\pi -bonds $ with a hydrogenating reagent, the product we would obtain is a cis-hydrogenation product always. The one difference however that we may obtain in the product is the number of $ \pi -bonds $ left in them, depending on the reagent used we may obtain an ethene $ \left( C{{H}_{2}}=C{{H}_{2}} \right) $ or an ethane $ \left( C{{H}_{3}}-C{{H}_{3}} \right) $ as the final product. An illustration to show this is provided below:-
The Hydrogens shown in orange are the hydrogens that are obtained from $ {{H}_{2}} $ as you can clearly see the hydrogenation occurs in a cis-manner as seen clear in the product $ \left[ A \right] $ .
Depending on what reagent has been used the partial hydrogenation product $ \left[ A \right] $ or the complete hydrogenation product $ \left[ B \right] $ is obtained. So we must be clearly wary about the reaction conditions and draw the products required accordingly. To help understand the process of hydrogenation in an even more clear manner let us look at the illustration below:
Note: Note that generally for partial hydrogenation a catalyst is poisoned using some chemical species which reduces its reactivity so take note on every species present also when forming ethane you don’t need to show cis-attack as in case of ethane due to presence of only a single bond it can easily rotate and thus no purely cis or trans species can be obtained for ethane.
Recently Updated Pages
Why are manures considered better than fertilizers class 11 biology CBSE

Find the coordinates of the midpoint of the line segment class 11 maths CBSE

Distinguish between static friction limiting friction class 11 physics CBSE

The Chairman of the constituent Assembly was A Jawaharlal class 11 social science CBSE

The first National Commission on Labour NCL submitted class 11 social science CBSE

Number of all subshell of n + l 7 is A 4 B 5 C 6 D class 11 chemistry CBSE

Trending doubts
Differentiate between an exothermic and an endothermic class 11 chemistry CBSE

10 examples of friction in our daily life

One Metric ton is equal to kg A 10000 B 1000 C 100 class 11 physics CBSE

Difference Between Prokaryotic Cells and Eukaryotic Cells

1 Quintal is equal to a 110 kg b 10 kg c 100kg d 1000 class 11 physics CBSE

State the laws of reflection of light

