
How can I draw Fischer projection from Haworth?
Answer
502.2k+ views
Hint :A Fischer projection is a way to represent a chemical compound in 2D structure without disturbing the stereochemistry of the molecule i.e., absolute configuration of the chiral carbons whereas Haworth projection is a way to represent cyclic compounds with a three-dimensional perspective.
Complete Step By Step Answer:
Let us consider an example of D-glucose, which we need to represent in Fisher projection. The Haworth projection of D-glucose is as follows:
The conversion of Haworth projection to Fischer projection undergoes in following steps:
Step-1: The carbon atoms of the ring are numbered so that they can be easily identified from their positions. The numbering of ring is done as follows:
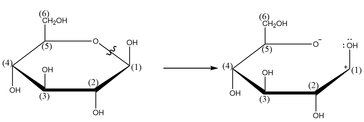
Step-2: Cleavage of the bond between oxygen and carbon-(1) takes place and a carbocation is formed. The process is shown as follows:
Step-3: The lone pair of electrons of oxygen atom will combine with the carbocation to form a double bond and hydrogen ion released will combine with the oxygen atom having negative charge. The process is shown as follows:
Step-4: Bonds connected with carbon-(5) are rotated in such a way that the $C{H_2}OH$ group aligns within the plane of the ring. The process is shown as follows:
Step-5: Writing the structure of the compound in its complete expanded form as follows:
Step-6 Rotating the projection with an angle of ${90^o}$ as follows:
Hence, the equivalent Fischer projection for D-glucose is as follows:
Therefore, by following these general steps we can easily convert Haworth projection into the Fischer projection.
Note :
It is important to know that we can convert the Fischer projection to the Haworth projection by following the steps in reverse order. The Haworth projection is the most convenient to represent a molecule with its stereochemistry.
Complete Step By Step Answer:
Let us consider an example of D-glucose, which we need to represent in Fisher projection. The Haworth projection of D-glucose is as follows:
The conversion of Haworth projection to Fischer projection undergoes in following steps:
Step-1: The carbon atoms of the ring are numbered so that they can be easily identified from their positions. The numbering of ring is done as follows:
Step-2: Cleavage of the bond between oxygen and carbon-(1) takes place and a carbocation is formed. The process is shown as follows:
Step-3: The lone pair of electrons of oxygen atom will combine with the carbocation to form a double bond and hydrogen ion released will combine with the oxygen atom having negative charge. The process is shown as follows:
Step-4: Bonds connected with carbon-(5) are rotated in such a way that the $C{H_2}OH$ group aligns within the plane of the ring. The process is shown as follows:
Step-5: Writing the structure of the compound in its complete expanded form as follows:
Step-6 Rotating the projection with an angle of ${90^o}$ as follows:
Hence, the equivalent Fischer projection for D-glucose is as follows:
Therefore, by following these general steps we can easily convert Haworth projection into the Fischer projection.
Note :
It is important to know that we can convert the Fischer projection to the Haworth projection by following the steps in reverse order. The Haworth projection is the most convenient to represent a molecule with its stereochemistry.
Recently Updated Pages
Why are manures considered better than fertilizers class 11 biology CBSE

Find the coordinates of the midpoint of the line segment class 11 maths CBSE

Distinguish between static friction limiting friction class 11 physics CBSE

The Chairman of the constituent Assembly was A Jawaharlal class 11 social science CBSE

The first National Commission on Labour NCL submitted class 11 social science CBSE

Number of all subshell of n + l 7 is A 4 B 5 C 6 D class 11 chemistry CBSE

Trending doubts
10 examples of friction in our daily life

One Metric ton is equal to kg A 10000 B 1000 C 100 class 11 physics CBSE

Difference Between Prokaryotic Cells and Eukaryotic Cells

1 Quintal is equal to a 110 kg b 10 kg c 100kg d 1000 class 11 physics CBSE

State the laws of reflection of light

Explain zero factorial class 11 maths CBSE

