
Draw canonical structures of the following:
a. Anisole
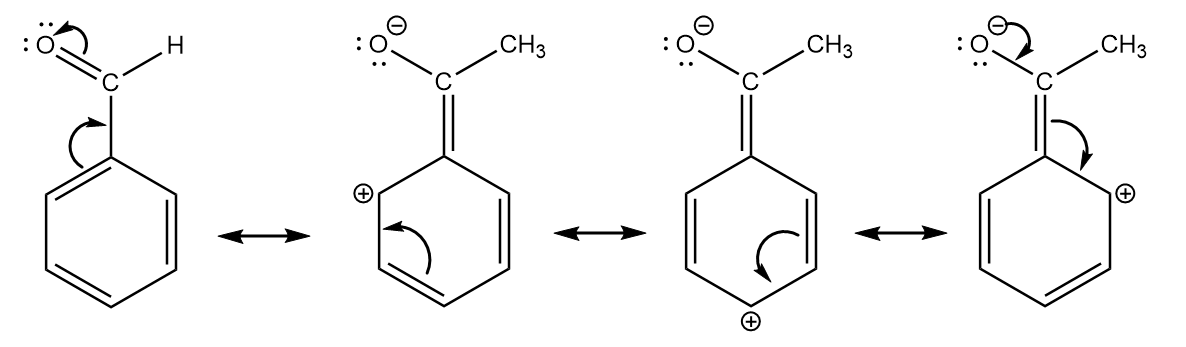
b. Benzaldehyde
Answer
482.1k+ views
Hint: In chemistry, canonical structures of a chemical compound is a method of representing the delocalized electrons within certain molecules or polyatomic ions like sulphate, phosphate ions, where the bonding cannot be completely explained in terms of a single Lewis structure.
Complete answer:
Some basic guidelines to draw resonance or canonical structures are as follows:
1. All canonical structures must be valid Lewis structures i.e., the canonical structures formed must strictly obey rules for drawing Lewis structures.
2. All structures must have the same atom connectivity and differ only in arrangement if electrons, i.e., in the different structures atoms never move but only electrons move.
3. Formal charge on the individual atom may be different but the net charge i.e., the sum of all charges for all the canonical structures must be the same.
4. Three electron transformations can take place while forming canonical structures i.e., $\pi $ bond forms another $\pi $ bond, $\pi $ bond forms the lone pair of electrons and lone pair of electrons form a $\pi $ bond.
5. Curved arrow notation is used to indicate the electron movement in each canonical structure.
Now, the canonical structures for each given compound are as follows:
a. Anisole:
b. Benzaldehyde:
Note:
It is important to note that while drawing canonical or resonance structures, sigma bonds never move and only $\pi $ electrons and lone pairs of electrons can be moved from a higher electron density area to a lower electron density area. Also, remember that greater the number of resonance or canonical structures, greater is the stability of the species.
Complete answer:
Some basic guidelines to draw resonance or canonical structures are as follows:
1. All canonical structures must be valid Lewis structures i.e., the canonical structures formed must strictly obey rules for drawing Lewis structures.
2. All structures must have the same atom connectivity and differ only in arrangement if electrons, i.e., in the different structures atoms never move but only electrons move.
3. Formal charge on the individual atom may be different but the net charge i.e., the sum of all charges for all the canonical structures must be the same.
4. Three electron transformations can take place while forming canonical structures i.e., $\pi $ bond forms another $\pi $ bond, $\pi $ bond forms the lone pair of electrons and lone pair of electrons form a $\pi $ bond.
5. Curved arrow notation is used to indicate the electron movement in each canonical structure.
Now, the canonical structures for each given compound are as follows:
a. Anisole:
b. Benzaldehyde:
Note:
It is important to note that while drawing canonical or resonance structures, sigma bonds never move and only $\pi $ electrons and lone pairs of electrons can be moved from a higher electron density area to a lower electron density area. Also, remember that greater the number of resonance or canonical structures, greater is the stability of the species.
Recently Updated Pages
A man running at a speed 5 ms is viewed in the side class 12 physics CBSE

The number of solutions in x in 02pi for which sqrt class 12 maths CBSE

State and explain Hardy Weinbergs Principle class 12 biology CBSE

Write any two methods of preparation of phenol Give class 12 chemistry CBSE

Which of the following statements is wrong a Amnion class 12 biology CBSE

Differentiate between action potential and resting class 12 biology CBSE

Trending doubts
What are the major means of transport Explain each class 12 social science CBSE

Which are the Top 10 Largest Countries of the World?

Draw a labelled sketch of the human eye class 12 physics CBSE

Explain sex determination in humans with line diag class 12 biology CBSE

Explain sex determination in humans with the help of class 12 biology CBSE

Differentiate between homogeneous and heterogeneous class 12 chemistry CBSE

