
Divide ${{x}^{3}}-6{{x}^{2}}+11x-6$ by $x-2$ and verify the division algorithm.
Answer
571.2k+ views
Hint: We start solving the problem by finding the dividend and divisor of the division process. We then perform the long-division process for the dividend with the divisor to obtain quotient and remainder. We then recall the division algorithm as dividend = divisor $\times $ quotient + remainder and substitute the divisor, quotient and remainder in this algorithm to check whether it is satisfying it or not.
Complete step by step answer:
According to the problem, we need to divide ${{x}^{3}}-6{{x}^{2}}+11x-6$ by $x-2$ and verify it with the division algorithm.
Here the dividend is ${{x}^{3}}-6{{x}^{2}}+11x-6$ and the divisor is $x-2$. We need to find the quotient and remainder of the division process between them.
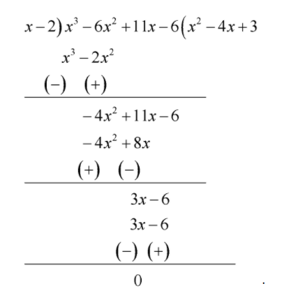
Let us perform the division by long-division method as shown below.
So, we have found the quotient as ${{x}^{2}}-4x+3$ and the remainder as 0.
We know that the division algorithm is defined as dividend = divisor $\times $ quotient + remainder. Let us verify this with the obtained quotient and remainder.
So, we have dividend = $\left( \left( x-2 \right)\times \left( {{x}^{2}}-4x+3 \right) \right)+0$.
$\Rightarrow $ Dividend = $x\times \left( {{x}^{2}}-4x+3 \right)-2\times \left( {{x}^{2}}-4x+3 \right)$.
$\Rightarrow $ Dividend = ${{x}^{3}}-4{{x}^{2}}+3x-2{{x}^{2}}+8x-6$.
$\Rightarrow $ Dividend = ${{x}^{3}}-6{{x}^{2}}+11x-6$.
We can see that the divisor, dividend, quotient and remainder verified the division algorithm.
Note: We can also find the denominator of the division process by substituting $x=2$ in the dividend ${{x}^{3}}-6{{x}^{2}}+11x-6$. We can also factorize the given dividend with one factor as $x-2$ to find the quotient (if the remainder is zero) of the division process. We can also find the other factors of the dividend by equating dividend to zero. Similarly, we can expect problems to find the value we obtain on substituting $x=-1$ in the dividend.
Complete step by step answer:
According to the problem, we need to divide ${{x}^{3}}-6{{x}^{2}}+11x-6$ by $x-2$ and verify it with the division algorithm.
Here the dividend is ${{x}^{3}}-6{{x}^{2}}+11x-6$ and the divisor is $x-2$. We need to find the quotient and remainder of the division process between them.
Let us perform the division by long-division method as shown below.
So, we have found the quotient as ${{x}^{2}}-4x+3$ and the remainder as 0.
We know that the division algorithm is defined as dividend = divisor $\times $ quotient + remainder. Let us verify this with the obtained quotient and remainder.
So, we have dividend = $\left( \left( x-2 \right)\times \left( {{x}^{2}}-4x+3 \right) \right)+0$.
$\Rightarrow $ Dividend = $x\times \left( {{x}^{2}}-4x+3 \right)-2\times \left( {{x}^{2}}-4x+3 \right)$.
$\Rightarrow $ Dividend = ${{x}^{3}}-4{{x}^{2}}+3x-2{{x}^{2}}+8x-6$.
$\Rightarrow $ Dividend = ${{x}^{3}}-6{{x}^{2}}+11x-6$.
We can see that the divisor, dividend, quotient and remainder verified the division algorithm.
Note: We can also find the denominator of the division process by substituting $x=2$ in the dividend ${{x}^{3}}-6{{x}^{2}}+11x-6$. We can also factorize the given dividend with one factor as $x-2$ to find the quotient (if the remainder is zero) of the division process. We can also find the other factors of the dividend by equating dividend to zero. Similarly, we can expect problems to find the value we obtain on substituting $x=-1$ in the dividend.
Recently Updated Pages
Master Class 9 General Knowledge: Engaging Questions & Answers for Success

Master Class 9 Social Science: Engaging Questions & Answers for Success

Master Class 9 English: Engaging Questions & Answers for Success

Master Class 9 Maths: Engaging Questions & Answers for Success

Master Class 9 Science: Engaging Questions & Answers for Success

Class 9 Question and Answer - Your Ultimate Solutions Guide

Trending doubts
Difference Between Plant Cell and Animal Cell

Fill the blanks with the suitable prepositions 1 The class 9 english CBSE

Who is eligible for RTE class 9 social science CBSE

Which places in India experience sunrise first and class 9 social science CBSE

What is pollution? How many types of pollution? Define it

Name 10 Living and Non living things class 9 biology CBSE


