
How can the conversion be carried out?
Benzyl alcohol to 2-phenylethanoic acid.
Answer
564.6k+ views
Hint: Benzyl alcohol is an aromatic compound. It is having the molecular formula ${{C}_{6}}{{H}_{5}}C{{H}_{2}}OH$. And 2-phenylethanoic acid is a carboxylic acid, with molecular formula ${{C}_{8}}{{H}_{8}}Cl{{O}_{2}}$ .
Complete step by step answer:
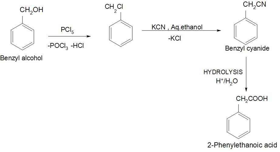
- We can see the conversion of Benzyl alcohol to 2-phenylethanoic acid:
- We can see from the reaction that Benzyl alcohol is first reacted with $PC{{l}_{5}}$ that is phosphorus pentachloride, to give benzyl chloride.
- Then in the next step, this benzyl chloride is reacted with KCN to give benzyl cyanide.
- Now, we need a carboxylic group instead of a cyanide group. So, we will bring about this change by subjecting this compound by the process of acid hydrolysis. And we will get 2-phenylethanoic acid as a product.
Additional Information:
- Benzyl alcohol is a colourless liquid which has pleasant aromatic odour.
- It is widely used, as it is having low vapour pressure, low polarity. It is also low toxicity.
- It is generally used as solvent for paints, waxes, inks etc. When it is applied to skin that is damaged or to the mucus membrane, then it is found that it acts as an antimicrobial agent.
- Benzyl alcohol is found to be used as a precursor to various ethers as well as esters. It is mainly used in the soap, and in various perfumes. For example, benzyl benzoate is widely used.
Note: Benzyl alcohol is used to produce many compounds. It is also found that it is also a precursor to many ethers. And it is miscible in alcohols and diethyl ether.
Complete step by step answer:
- We can see the conversion of Benzyl alcohol to 2-phenylethanoic acid:
- We can see from the reaction that Benzyl alcohol is first reacted with $PC{{l}_{5}}$ that is phosphorus pentachloride, to give benzyl chloride.
- Then in the next step, this benzyl chloride is reacted with KCN to give benzyl cyanide.
- Now, we need a carboxylic group instead of a cyanide group. So, we will bring about this change by subjecting this compound by the process of acid hydrolysis. And we will get 2-phenylethanoic acid as a product.
Additional Information:
- Benzyl alcohol is a colourless liquid which has pleasant aromatic odour.
- It is widely used, as it is having low vapour pressure, low polarity. It is also low toxicity.
- It is generally used as solvent for paints, waxes, inks etc. When it is applied to skin that is damaged or to the mucus membrane, then it is found that it acts as an antimicrobial agent.
- Benzyl alcohol is found to be used as a precursor to various ethers as well as esters. It is mainly used in the soap, and in various perfumes. For example, benzyl benzoate is widely used.
Note: Benzyl alcohol is used to produce many compounds. It is also found that it is also a precursor to many ethers. And it is miscible in alcohols and diethyl ether.
Recently Updated Pages
Master Class 11 Chemistry: Engaging Questions & Answers for Success

Master Class 11 Computer Science: Engaging Questions & Answers for Success

Master Class 11 Economics: Engaging Questions & Answers for Success

How many 5 digit telephone numbers can be constructed class 11 maths CBSE

Draw a well labelled diagram of reflex arc and explain class 11 biology CBSE

What is the difference between noise and music Can class 11 physics CBSE

Trending doubts
In what year Guru Nanak Dev ji was born A15 April 1469 class 11 social science CBSE

1 Quintal is equal to a 110 kg b 10 kg c 100kg d 1000 class 11 physics CBSE

10 examples of friction in our daily life

Draw a diagram of a plant cell and label at least eight class 11 biology CBSE

One Metric ton is equal to kg A 10000 B 1000 C 100 class 11 physics CBSE

Write the differences between monocot plants and dicot class 11 biology CBSE

