
Complete the missing entries in the following factor tree:
Answer
488.7k+ views
Hint: The tree in the diagram represents the prime factor tree. The prima factor tree indicates the prime factors of a given number in the form of branches of a tree. The prime factor tree helps in finding the prime factors of a number greater than $ 1 $ .
Complete step-by-step answer:
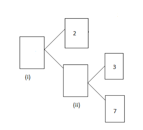
Prime factors of the number refer to numbers which are divisible by $ 1 $ and itself. For example: $ 2 $ is a prime number as it is only divisible by $ 1 $ and the number itself.
The number in the given diagram at the second branch of the tree denoted by (ii) will be the product of its prime factors which are: $ 3 $ and $ 7 $ . This gives the number as:
$ 3\times 7=21 $
The number at the topmost branch is the product of its prime factors which are: $ 2 $ and $ 21 $ . This gives the number as:
$ 2\times 21=42 $
The final answer is $ 42 $ whose prime factors are $ 2 $ , $ 3 $ and $ 7 $ .
Composite numbers are those numbers which have factors other than $ 1 $ and the number itself. Every composite number can be represented by a factor tree.
Prime factorization method is generally used to find the factors of a composite number in order to reach the Highest common factor or Lowest common multiple of two or more numbers.
Prime factorization method is easy to understand and apply in determining the factors of a number.
Note: $ 1 $ is neither a prime number nor a composite number as $ 1 $ has only a factor that is itself.
$ 2 $ is the only even prime number as other even numbers have more factors (other than $ 1 $ and itself) due to which they are not prime numbers.
Complete step-by-step answer:
Prime factors of the number refer to numbers which are divisible by $ 1 $ and itself. For example: $ 2 $ is a prime number as it is only divisible by $ 1 $ and the number itself.
The number in the given diagram at the second branch of the tree denoted by (ii) will be the product of its prime factors which are: $ 3 $ and $ 7 $ . This gives the number as:
$ 3\times 7=21 $
The number at the topmost branch is the product of its prime factors which are: $ 2 $ and $ 21 $ . This gives the number as:
$ 2\times 21=42 $
The final answer is $ 42 $ whose prime factors are $ 2 $ , $ 3 $ and $ 7 $ .
Composite numbers are those numbers which have factors other than $ 1 $ and the number itself. Every composite number can be represented by a factor tree.
Prime factorization method is generally used to find the factors of a composite number in order to reach the Highest common factor or Lowest common multiple of two or more numbers.
Prime factorization method is easy to understand and apply in determining the factors of a number.
Note: $ 1 $ is neither a prime number nor a composite number as $ 1 $ has only a factor that is itself.
$ 2 $ is the only even prime number as other even numbers have more factors (other than $ 1 $ and itself) due to which they are not prime numbers.
Recently Updated Pages
Master Class 8 Maths: Engaging Questions & Answers for Success

Class 8 Question and Answer - Your Ultimate Solutions Guide

Master Class 12 Economics: Engaging Questions & Answers for Success

Master Class 12 Maths: Engaging Questions & Answers for Success

Master Class 12 Biology: Engaging Questions & Answers for Success

Master Class 12 Physics: Engaging Questions & Answers for Success

Trending doubts
What is BLO What is the full form of BLO class 8 social science CBSE

Which one of the following groups comprises states class 8 social science CBSE

Citizens of India can vote at the age of A 18 years class 8 social science CBSE

Full form of STD, ISD and PCO

A couple went for a picnic They have 5 sons and each class 8 maths CBSE

Right to vote is a AFundamental Right BFundamental class 8 social science CBSE


