
Benzylamine is a stronger base than aniline because:
A) The lone pair of electrons on the nitrogen atom in benzylamine is delocalised.
B) The lone pair of electrons on the nitrogen atom in aniline is delocalised.
C) The lone pair of electrons on the nitrogen atom in aniline is not involved in resonance.
D) Benzylamine has a higher molecular mass than aniline.
Answer
566.1k+ views
Hint: A stronger base readily donates its pairs of electrons. Chemical formula of aniline and benzylamine is ${C_6}{H_5}N{H_2}$ and ${C_6}{H_5}C{H_2}N{H_2}$ respectively. In both lone pairs are present on nitrogen atoms. But in aniline, nitrogen is attached to the benzene ring whereas in benzylamine, nitrogen is attached to the saturated carbon.
Complete answer:
According to Lewis theory of acids and bases, a base is the one which has the availability of electrons to donate to an acid. Now, here we need to find the stronger base among benzylamine and aniline. A stronger base will be the one whose electrons are easily available for donation. Chemical formula of aniline is ${C_6}{H_5}N{H_2}$ and its structure is as given below:
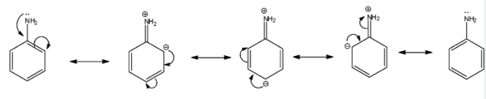
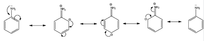
In this molecule, a lone pair of electrons is present on nitrogen atom (N) and this nitrogen atom is attached to a $s{p^2}$ hybridised carbon of the benzene ring. The lone pair of electrons present on nitrogen will involve in resonance with the benzene ring as:
Thus, it is quite clear that due to resonance present in aniline, lone pair of electrons available are delocalised and hence will be less available for donation. This makes aniline a weaker base. Now, chemical formula of benzylamine is ${C_6}{H_5}C{H_2}N{H_2}$ and its structure is as given below:
In this molecule, a lone pair of electrons is again present on nitrogen (N). But here, nitrogen is attached to a $s{p^3}$ hybridised carbon and not to the benzene ring. Hence, lone pairs of electrons on nitrogen are not involved in any resonance with the benzene ring. Therefore, lone pairs of electrons are localised here on nitrogen atoms and will be readily available for donation. Thus, benzylamine is a stronger base. Hence, benzylamine is a stronger base than aniline because the lone pair of electrons on the nitrogen atom in aniline is delocalised.
Thus, option B is correct.
Note: Both benzylamine and aniline are bases but relatively differs in their basicity. You must know that lower is the $p{K_b}$ value (i.e., numeric measurement of the basicity) , stronger is the base. The $p{K_b}$ value of benzylamine is 4.70 while that of aniline is 9.13.
Complete answer:
According to Lewis theory of acids and bases, a base is the one which has the availability of electrons to donate to an acid. Now, here we need to find the stronger base among benzylamine and aniline. A stronger base will be the one whose electrons are easily available for donation. Chemical formula of aniline is ${C_6}{H_5}N{H_2}$ and its structure is as given below:
In this molecule, a lone pair of electrons is present on nitrogen atom (N) and this nitrogen atom is attached to a $s{p^2}$ hybridised carbon of the benzene ring. The lone pair of electrons present on nitrogen will involve in resonance with the benzene ring as:
Thus, it is quite clear that due to resonance present in aniline, lone pair of electrons available are delocalised and hence will be less available for donation. This makes aniline a weaker base. Now, chemical formula of benzylamine is ${C_6}{H_5}C{H_2}N{H_2}$ and its structure is as given below:
In this molecule, a lone pair of electrons is again present on nitrogen (N). But here, nitrogen is attached to a $s{p^3}$ hybridised carbon and not to the benzene ring. Hence, lone pairs of electrons on nitrogen are not involved in any resonance with the benzene ring. Therefore, lone pairs of electrons are localised here on nitrogen atoms and will be readily available for donation. Thus, benzylamine is a stronger base. Hence, benzylamine is a stronger base than aniline because the lone pair of electrons on the nitrogen atom in aniline is delocalised.
Thus, option B is correct.
Note: Both benzylamine and aniline are bases but relatively differs in their basicity. You must know that lower is the $p{K_b}$ value (i.e., numeric measurement of the basicity) , stronger is the base. The $p{K_b}$ value of benzylamine is 4.70 while that of aniline is 9.13.
Recently Updated Pages
A man running at a speed 5 ms is viewed in the side class 12 physics CBSE

State and explain Hardy Weinbergs Principle class 12 biology CBSE

Which of the following statements is wrong a Amnion class 12 biology CBSE

Two Planoconcave lenses 1 and 2 of glass of refractive class 12 physics CBSE

The compound 2 methyl 2 butene on reaction with NaIO4 class 12 chemistry CBSE

Bacterial cell wall is made up of A Cellulose B Hemicellulose class 12 biology CBSE

Trending doubts
What are the major means of transport Explain each class 12 social science CBSE

Which are the Top 10 Largest Countries of the World?

Explain sex determination in humans with line diag class 12 biology CBSE

Draw a labelled sketch of the human eye class 12 physics CBSE

How much time does it take to bleed after eating p class 12 biology CBSE

Suicide bags of cells are aEndoplasmic reticulum bLysosome class 12 biology CBSE

