
What are the molecular formula, the structural formula, the condensed structural formula, and the abbreviated line formula for pentane?
Answer
528.9k+ views
Hint: In order to solve the question, we first need to look at the name of the compound then we will come to know from the suffix and prefix that exactly what the compound is. Pentane is an organic compound with 5 carbon atoms attached with single bonds.
Complete step-by-step answer:Pentane is a 5 carbon organic compound and since the suffix is ‘– ane’ we can say that there are only single bonds, i.e., it is a saturated molecule. There are no double or triple bonds.
The molecular formula of pentane is
$C_{5}H_{12}$
The structural formula of pentane is
The chemical formula in which there is no presence of sigma or pi bonds is called condensed formula. The condensed structural formula of pentane is
$CH_{3}(CH_{2})_{3}CH_{3}$
There are two isomers for pentane-
Isopentane or 2-methylbutane – In this type of arrangement, 4 carbon atoms are arranged in a straight chain and the fifth carbon atom is attached to the second carbon of the straight chain to form a branch.
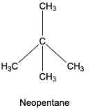
Neopentane or 2,2-dimethylpropane – Here, 3 carbon atoms are arranged one after the other to form a straight chain, while the other 2 carbon atoms are attached to the middle carbon atom of the straight chain to form 2 branches.
Note: The condensed formula gives the idea about the number of carbons, number of hydrogens, number of oxygen atoms, and the number of nitrogen atoms present in the compound very easily. By using bond line formulas, we can easily present the structures of the organic compounds very easily.
Complete step-by-step answer:Pentane is a 5 carbon organic compound and since the suffix is ‘– ane’ we can say that there are only single bonds, i.e., it is a saturated molecule. There are no double or triple bonds.
The molecular formula of pentane is
$C_{5}H_{12}$
The structural formula of pentane is
The chemical formula in which there is no presence of sigma or pi bonds is called condensed formula. The condensed structural formula of pentane is
$CH_{3}(CH_{2})_{3}CH_{3}$
There are two isomers for pentane-
Isopentane or 2-methylbutane – In this type of arrangement, 4 carbon atoms are arranged in a straight chain and the fifth carbon atom is attached to the second carbon of the straight chain to form a branch.
Neopentane or 2,2-dimethylpropane – Here, 3 carbon atoms are arranged one after the other to form a straight chain, while the other 2 carbon atoms are attached to the middle carbon atom of the straight chain to form 2 branches.
Note: The condensed formula gives the idea about the number of carbons, number of hydrogens, number of oxygen atoms, and the number of nitrogen atoms present in the compound very easily. By using bond line formulas, we can easily present the structures of the organic compounds very easily.
Recently Updated Pages
Why are manures considered better than fertilizers class 11 biology CBSE

Find the coordinates of the midpoint of the line segment class 11 maths CBSE

Distinguish between static friction limiting friction class 11 physics CBSE

The Chairman of the constituent Assembly was A Jawaharlal class 11 social science CBSE

The first National Commission on Labour NCL submitted class 11 social science CBSE

Number of all subshell of n + l 7 is A 4 B 5 C 6 D class 11 chemistry CBSE

Trending doubts
Differentiate between an exothermic and an endothermic class 11 chemistry CBSE

10 examples of friction in our daily life

One Metric ton is equal to kg A 10000 B 1000 C 100 class 11 physics CBSE

Difference Between Prokaryotic Cells and Eukaryotic Cells

1 Quintal is equal to a 110 kg b 10 kg c 100kg d 1000 class 11 physics CBSE

State the laws of reflection of light

