
What are the main constituents of Dettol?
Answer
589.5k+ views
Hint: Out of the 2 main constituents of Dettol, one of them is a disinfectant and antiseptic used which is used in skin disinfection and cleaning surgical equipment. The other constituent is an $\alpha -$ form of an alcohol which is found in natural oils such as petitgrain and pine oil.
Complete step by step solution:
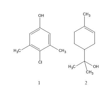
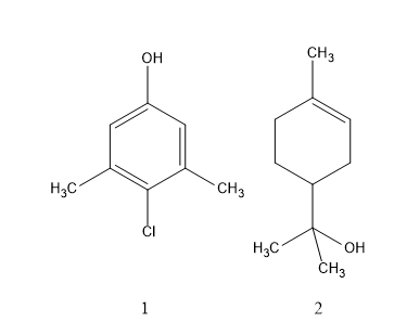
- There are 2 main constituents of Dettol. They are – 1) Chloroxylenol and 2) $\alpha -$ terpineol.
- Chloroxylenol is the main constituent in Dettol. It makes up about 4.8 % of the total mixture of Dettol. It is commonly used as a disinfectant and antiseptic.
- $\alpha -$ terpineol is the other main constituent of Dettol. It is a terpene alcohol which is found in natural oils (petitgrain and pine oil).
- The minor constituents include isopropanol, castor oil, soap and water.
- Dettol acts as an antiseptic when we add Dettol and water in the ratio of 1:20. That is, we can prepare an antiseptic liquid to cleanse affected areas by adding 50 ml of Dettol in 1L water.
- Dettol can also be used as a disinfectant. This is when we add Dettol and water in the ratio of 1:40 to 1:20. That is, by adding 25-50 ml Dettol in 1 L water.
Additional Information:
- Dettol is an antiseptic disinfectant. It has many uses.
- Dettol cleanses our skin and also protects our skin against infection from minor scratches or cuts in skin, insect bites etc.
- Dettol is also used as a household disinfectant. It is used to clean surfaces and it is also added to the laundry rinse cycle.
Note: -If the question is about the main constituent, instead of main constituents, the answer will be chloroxylenol. This is because it makes up about 4.8 % of the total mixture of Dettol.
Complete step by step solution:
- There are 2 main constituents of Dettol. They are – 1) Chloroxylenol and 2) $\alpha -$ terpineol.
- Chloroxylenol is the main constituent in Dettol. It makes up about 4.8 % of the total mixture of Dettol. It is commonly used as a disinfectant and antiseptic.
- $\alpha -$ terpineol is the other main constituent of Dettol. It is a terpene alcohol which is found in natural oils (petitgrain and pine oil).
- The minor constituents include isopropanol, castor oil, soap and water.
- Dettol acts as an antiseptic when we add Dettol and water in the ratio of 1:20. That is, we can prepare an antiseptic liquid to cleanse affected areas by adding 50 ml of Dettol in 1L water.
- Dettol can also be used as a disinfectant. This is when we add Dettol and water in the ratio of 1:40 to 1:20. That is, by adding 25-50 ml Dettol in 1 L water.
Additional Information:
- Dettol is an antiseptic disinfectant. It has many uses.
- Dettol cleanses our skin and also protects our skin against infection from minor scratches or cuts in skin, insect bites etc.
- Dettol is also used as a household disinfectant. It is used to clean surfaces and it is also added to the laundry rinse cycle.
Note: -If the question is about the main constituent, instead of main constituents, the answer will be chloroxylenol. This is because it makes up about 4.8 % of the total mixture of Dettol.
Recently Updated Pages
Two men on either side of the cliff 90m height observe class 10 maths CBSE

Cutting of the Chinese melon means A The business and class 10 social science CBSE

Show an aquatic food chain using the following organisms class 10 biology CBSE

How is gypsum formed class 10 chemistry CBSE

If the line 3x + 4y 24 0 intersects the xaxis at t-class-10-maths-CBSE

Sugar present in DNA is A Heptose B Hexone C Tetrose class 10 biology CBSE

Trending doubts
The average rainfall in India is A 105cm B 90cm C 120cm class 10 biology CBSE

Why is there a time difference of about 5 hours between class 10 social science CBSE

What is the median of the first 10 natural numbers class 10 maths CBSE

Indias first jute mill was established in 1854 in A class 10 social science CBSE

Indias first jute mill was established in 1854 in A class 10 social science CBSE

Write a letter to the principal requesting him to grant class 10 english CBSE

