
What are primary, secondary, and tertiary alcohols? Give one example of each.
Answer
490.8k+ views
Hint: Alcohols have –OH group attached to the alkyl groups. The three types of alcohols, primary, secondary, and tertiary are determined by the position of the hydroxyl functional group attached to the alkyl group. Just write the definition of all the three types and give one example each.
Complete answer:
Alcohol is any class of organic compounds characterized by the presence of one or more hydroxyl (―OH) groups attached to a carbon atom of an alkyl group (hydrocarbon chain).
Based upon the presence of hydroxyl group attached to the alkyl group and the location of this hydroxyl group the alcohols are differentiated into primary, secondary, and tertiary.
Primary alcohols- In a primary \[\left( {1^\circ } \right)\]alcohol, the carbon atom that carries the -OH group is only attached to one alkyl group. Example- ethanol, butanol or butan-\[1\]- etc.
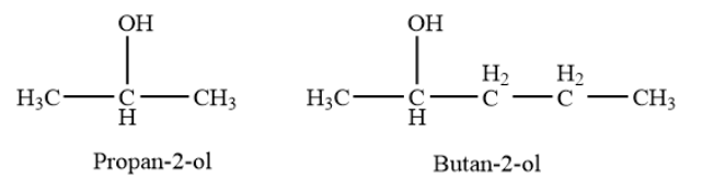
Secondary alcohols- In a secondary \[\left( {2^\circ } \right)\]alcohol, the carbon atom with the -OH group attached is joined directly to two alkyl groups, which may be the same or different. Examples- propan-\[2\]-ol, butan-\[2\]-ol etc.
Tertiary alcohols-In a tertiary \[\left( {3^\circ } \right)\]alcohol, the carbon atom holding the -OH group is attached directly to three alkyl groups, which may be any combination of the same or different groups. Example- \[2\]-methylpropan-\[2\]-ol, \[2\]-methylbutan-\[2\]-ol etc.
Note:
Alcohols can also have multiple hydroxyl groups instead of one. If an alcohol has two hydroxyl groups then it is called diols, if it has three hydroxyl groups then it is triols, and so on. Alcohols are an important class of compounds. Alcohols may be considered as organic derivatives of water \[\left( {{H_2}O} \right)\] in which one of the hydrogen atoms has been replaced by an alkyl group, typically represented by R in organic structures.
Complete answer:
Alcohol is any class of organic compounds characterized by the presence of one or more hydroxyl (―OH) groups attached to a carbon atom of an alkyl group (hydrocarbon chain).
Based upon the presence of hydroxyl group attached to the alkyl group and the location of this hydroxyl group the alcohols are differentiated into primary, secondary, and tertiary.
Primary alcohols- In a primary \[\left( {1^\circ } \right)\]alcohol, the carbon atom that carries the -OH group is only attached to one alkyl group. Example- ethanol, butanol or butan-\[1\]- etc.
Secondary alcohols- In a secondary \[\left( {2^\circ } \right)\]alcohol, the carbon atom with the -OH group attached is joined directly to two alkyl groups, which may be the same or different. Examples- propan-\[2\]-ol, butan-\[2\]-ol etc.
Tertiary alcohols-In a tertiary \[\left( {3^\circ } \right)\]alcohol, the carbon atom holding the -OH group is attached directly to three alkyl groups, which may be any combination of the same or different groups. Example- \[2\]-methylpropan-\[2\]-ol, \[2\]-methylbutan-\[2\]-ol etc.
Note:
Alcohols can also have multiple hydroxyl groups instead of one. If an alcohol has two hydroxyl groups then it is called diols, if it has three hydroxyl groups then it is triols, and so on. Alcohols are an important class of compounds. Alcohols may be considered as organic derivatives of water \[\left( {{H_2}O} \right)\] in which one of the hydrogen atoms has been replaced by an alkyl group, typically represented by R in organic structures.
Recently Updated Pages
Why are manures considered better than fertilizers class 11 biology CBSE

Find the coordinates of the midpoint of the line segment class 11 maths CBSE

Distinguish between static friction limiting friction class 11 physics CBSE

The Chairman of the constituent Assembly was A Jawaharlal class 11 social science CBSE

The first National Commission on Labour NCL submitted class 11 social science CBSE

Number of all subshell of n + l 7 is A 4 B 5 C 6 D class 11 chemistry CBSE

Trending doubts
Differentiate between an exothermic and an endothermic class 11 chemistry CBSE

10 examples of friction in our daily life

One Metric ton is equal to kg A 10000 B 1000 C 100 class 11 physics CBSE

Difference Between Prokaryotic Cells and Eukaryotic Cells

1 Quintal is equal to a 110 kg b 10 kg c 100kg d 1000 class 11 physics CBSE

State the laws of reflection of light

