
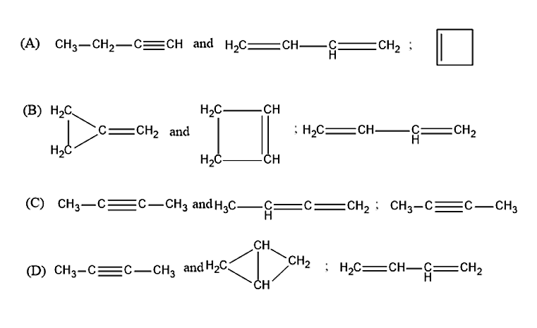
An organic compound of molecular formula \[{C_4}{H_6}\] (A), forms precipitate with ammoniacal silver nitrate and ammoniacal cuprous chloride. ‘A’ has an isomer ‘B’, one mole of which reacts with one mole of \[B{r_2}\] to form 1,4-dibromo-2-butene. Another isomer of ‘A’ is ‘C’, 1 mole of C reacts with only 1 mole of \[B{r_2}\]to give vicinal dibromide. A, B & C.
Answer
530.7k+ views
Hint: First thing we have to do in this reaction is to find the compound A from the molecular formula given. Then only we will be able to carry out the further reaction and then find the compound B and C.
Complete answer:
An organic compound is given which has a molecular formula of \[{C_4}{H_6}\]. When the compound A reacts with the ammoniacal silver nitrate and ammoniacal cuprous chloride, it will form a precipitate. Hence, the compound A was found to be 1-Butyne.
1-Butyne is having an isomer, i.e., the compound B. One mole of the compound B will react with one mole of the bromine molecule to form 1,4-Dibromo-2-butene. Therefore, the compound B was found to be 1,4-Butadiene.
Butyne is also having another isomer other than 1,4-Butadiene, i.e., the compound C. One mole of the compound C will react with one mole of the Bromine molecule to give vicinal dibromide. Therefore, the compound C is found to be 1-Cyclobutene.
Therefore, the correct answer is option (A).
Note:
We should always be careful while finding the compound A, because by knowing it only we would be able to carry out the rest of the reaction. If we make a mistake in finding it, then there is a chance that the whole reaction can go wrong.
Complete answer:
An organic compound is given which has a molecular formula of \[{C_4}{H_6}\]. When the compound A reacts with the ammoniacal silver nitrate and ammoniacal cuprous chloride, it will form a precipitate. Hence, the compound A was found to be 1-Butyne.
1-Butyne is having an isomer, i.e., the compound B. One mole of the compound B will react with one mole of the bromine molecule to form 1,4-Dibromo-2-butene. Therefore, the compound B was found to be 1,4-Butadiene.
Butyne is also having another isomer other than 1,4-Butadiene, i.e., the compound C. One mole of the compound C will react with one mole of the Bromine molecule to give vicinal dibromide. Therefore, the compound C is found to be 1-Cyclobutene.
Therefore, the correct answer is option (A).
Note:
We should always be careful while finding the compound A, because by knowing it only we would be able to carry out the rest of the reaction. If we make a mistake in finding it, then there is a chance that the whole reaction can go wrong.
Recently Updated Pages
Why are manures considered better than fertilizers class 11 biology CBSE

Find the coordinates of the midpoint of the line segment class 11 maths CBSE

Distinguish between static friction limiting friction class 11 physics CBSE

The Chairman of the constituent Assembly was A Jawaharlal class 11 social science CBSE

The first National Commission on Labour NCL submitted class 11 social science CBSE

Number of all subshell of n + l 7 is A 4 B 5 C 6 D class 11 chemistry CBSE

Trending doubts
Differentiate between an exothermic and an endothermic class 11 chemistry CBSE

10 examples of friction in our daily life

One Metric ton is equal to kg A 10000 B 1000 C 100 class 11 physics CBSE

Difference Between Prokaryotic Cells and Eukaryotic Cells

1 Quintal is equal to a 110 kg b 10 kg c 100kg d 1000 class 11 physics CBSE

State the laws of reflection of light

