
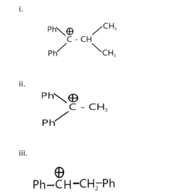
Among these cations, which of the following orders is correct for their no- bond- resonance energy?
a. i > ii > iii
b. iii > i > ii
c. iii > ii > i
d. ii > iii > i
Answer
558.9k+ views
Hint: When there is a positive charge on carbon the compound is generally called carbocation, all the structure has 1 carbocation, no – bond – resonance is called hyperconjugation, where the sigma or lone pair electrons move to the adjacent pi orbital.
Complete Step by step answer:First, let’s understand the role of hyperconjugation in a molecule?
Hyperconjugation or no – bond – resonance brings stability to the molecule, the more the extent of hyperconjugation the more will be the stability of the corresponding molecule.
Hyperconjugation is directly proportional to the number of $\alpha $ hydrogen present in the given molecule. Hence, the greater the number of $\alpha $ hydrogen greater will be the hyperconjugation or non-bond- resonance energy.
The carbon adjacent to the function group is called $\alpha $ carbon, and the hydrogen attached to the $\alpha $ carbon is called $\alpha $ hydrogen.
Therefore, to choose the correct option we have to count the $\alpha $ hydrogen present in each molecule.
The maximum number of $\alpha $ hydrogen is present in molecule ‘ii’ and followed by 2 and 1 in molecule ‘iii and i’ respectively. The order of hyperconjugation can be written as ii > iii > i
Hence, the correct answer is option (d) i.e., ii > iii > i.
Note: The phenyl group ($ - {C_6}{H_5}$) has 5 hydrogens but these hydrogen are not $\alpha $ hydrogen as the $\alpha $ carbon bonded with carbocation has no hydrogen in it. The functional group is usually alkene, but here one hydrogen from one of the alkene carbon is removed, leaving a + ve charge behind. Hence, we will consider the carbocation ($\mathop C\limits^ \oplus $) as the functional group.
Complete Step by step answer:First, let’s understand the role of hyperconjugation in a molecule?
Hyperconjugation or no – bond – resonance brings stability to the molecule, the more the extent of hyperconjugation the more will be the stability of the corresponding molecule.
Hyperconjugation is directly proportional to the number of $\alpha $ hydrogen present in the given molecule. Hence, the greater the number of $\alpha $ hydrogen greater will be the hyperconjugation or non-bond- resonance energy.
The carbon adjacent to the function group is called $\alpha $ carbon, and the hydrogen attached to the $\alpha $ carbon is called $\alpha $ hydrogen.
Therefore, to choose the correct option we have to count the $\alpha $ hydrogen present in each molecule.
The maximum number of $\alpha $ hydrogen is present in molecule ‘ii’ and followed by 2 and 1 in molecule ‘iii and i’ respectively. The order of hyperconjugation can be written as ii > iii > i
Hence, the correct answer is option (d) i.e., ii > iii > i.
Note: The phenyl group ($ - {C_6}{H_5}$) has 5 hydrogens but these hydrogen are not $\alpha $ hydrogen as the $\alpha $ carbon bonded with carbocation has no hydrogen in it. The functional group is usually alkene, but here one hydrogen from one of the alkene carbon is removed, leaving a + ve charge behind. Hence, we will consider the carbocation ($\mathop C\limits^ \oplus $) as the functional group.
Recently Updated Pages
Why are manures considered better than fertilizers class 11 biology CBSE

Find the coordinates of the midpoint of the line segment class 11 maths CBSE

Distinguish between static friction limiting friction class 11 physics CBSE

The Chairman of the constituent Assembly was A Jawaharlal class 11 social science CBSE

The first National Commission on Labour NCL submitted class 11 social science CBSE

Number of all subshell of n + l 7 is A 4 B 5 C 6 D class 11 chemistry CBSE

Trending doubts
Differentiate between an exothermic and an endothermic class 11 chemistry CBSE

10 examples of friction in our daily life

One Metric ton is equal to kg A 10000 B 1000 C 100 class 11 physics CBSE

Difference Between Prokaryotic Cells and Eukaryotic Cells

State the laws of reflection of light

Explain zero factorial class 11 maths CBSE

