
Among \[HCl\,,\,{H_2}O\,\] and \[N{H_3}\] ,which has a higher boiling point and why?
Answer
538.5k+ views
Hint: The boiling point also referred to as B.P is a temperature at which the vapour pressure of the liquid equals the external pressure surrounding the liquid. The boiling point (B.P) of a liquid depends upon the atmospheric pressure. The factor that influences the B.P is the strength of intermolecular forces., like ionic bonding, hydrogen bonding, etc.
Complete step by step answer:
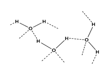
The electrostatic force of attraction between the Hydrogen and the electronegative atom such as nitrogen, oxygen, fluorine, etc., is called Hydrogen bonding. In such bonds, the hydrogen acts as a donor and the electronegative element acts as an acceptor. The Hydrogen bond is having a special type of interaction i.e., dipole-dipole interaction.
Hydrogen bond strength ranges from \[4{{ }}kJ\] - \[50{{ }}kJ{{ }}mo{l^{ - 1}}\] of hydrogen bonds.
From \[HCl\,,\,{H_2}O\,\] and \[N{H_3}\] ,
\[{H_2}O\,\] is having the highest boiling point.
The \[{H_2}O\,\] is hydrogen bonding. But even in \[N{H_3}\] there is hydrogen bonding, since it's weaker than \[{H_2}O\,\] due to the less electronegativity of nitrogen than oxygen.
The main reason \[{H_2}O\,\] is having great hydrogen bond because \[{H_2}O\,\] is having bent shape structure that allows for the greater interaction with the adjacent \[{H_2}O\,\] molecules.
The \[{H_2}O\,\] is having more hydrogen bonding than \[HF\] . Even though the Fluorine is having higher electronegativity than Oxygen, the important thing to be noted is that \[HF\] can form two hydrogen bonding whereas, \[{H_2}O\,\] can form four hydrogen bonding. Due to this reason, \[HF\] is having less boiling point than \[{H_2}O\,\].
When we see the \[HCl\] , it lacks the ability to form hydrogen bonding. This is due to the size of \[Cl\] that hides the hydrogen to form intermolecular hydrogen bonding. Since hydrogen is very small.
\[{H_2}O{{ }} > {{ }}N{H_3} > {{ }}HCl\]
Note: In \[{H_2}O\,\], Oxygen has two lone-pairs. In \[N{H_3}\] , nitrogen has one lone-pair. So, \[{H_2}O\,\] form four \[H - {{ }}bonds\] whereas, in the case of \[N{H_3}\] ,it forms two \[H - {{ }}bonds\]. In the case of \[HCl\] we saw that chlorine hides the hydrogen due to their sizes. That’s the reason, \[{H_2}O\,\] is more stable and it needs more energy to break the bond. As the hydrogen bond increases the compound is having more boiling point.
Complete step by step answer:
The electrostatic force of attraction between the Hydrogen and the electronegative atom such as nitrogen, oxygen, fluorine, etc., is called Hydrogen bonding. In such bonds, the hydrogen acts as a donor and the electronegative element acts as an acceptor. The Hydrogen bond is having a special type of interaction i.e., dipole-dipole interaction.
Hydrogen bond strength ranges from \[4{{ }}kJ\] - \[50{{ }}kJ{{ }}mo{l^{ - 1}}\] of hydrogen bonds.
From \[HCl\,,\,{H_2}O\,\] and \[N{H_3}\] ,
\[{H_2}O\,\] is having the highest boiling point.
The \[{H_2}O\,\] is hydrogen bonding. But even in \[N{H_3}\] there is hydrogen bonding, since it's weaker than \[{H_2}O\,\] due to the less electronegativity of nitrogen than oxygen.
The main reason \[{H_2}O\,\] is having great hydrogen bond because \[{H_2}O\,\] is having bent shape structure that allows for the greater interaction with the adjacent \[{H_2}O\,\] molecules.
The \[{H_2}O\,\] is having more hydrogen bonding than \[HF\] . Even though the Fluorine is having higher electronegativity than Oxygen, the important thing to be noted is that \[HF\] can form two hydrogen bonding whereas, \[{H_2}O\,\] can form four hydrogen bonding. Due to this reason, \[HF\] is having less boiling point than \[{H_2}O\,\].
When we see the \[HCl\] , it lacks the ability to form hydrogen bonding. This is due to the size of \[Cl\] that hides the hydrogen to form intermolecular hydrogen bonding. Since hydrogen is very small.
\[{H_2}O{{ }} > {{ }}N{H_3} > {{ }}HCl\]
Note: In \[{H_2}O\,\], Oxygen has two lone-pairs. In \[N{H_3}\] , nitrogen has one lone-pair. So, \[{H_2}O\,\] form four \[H - {{ }}bonds\] whereas, in the case of \[N{H_3}\] ,it forms two \[H - {{ }}bonds\]. In the case of \[HCl\] we saw that chlorine hides the hydrogen due to their sizes. That’s the reason, \[{H_2}O\,\] is more stable and it needs more energy to break the bond. As the hydrogen bond increases the compound is having more boiling point.
Recently Updated Pages
Why are manures considered better than fertilizers class 11 biology CBSE

Find the coordinates of the midpoint of the line segment class 11 maths CBSE

Distinguish between static friction limiting friction class 11 physics CBSE

The Chairman of the constituent Assembly was A Jawaharlal class 11 social science CBSE

The first National Commission on Labour NCL submitted class 11 social science CBSE

Number of all subshell of n + l 7 is A 4 B 5 C 6 D class 11 chemistry CBSE

Trending doubts
Differentiate between an exothermic and an endothermic class 11 chemistry CBSE

10 examples of friction in our daily life

One Metric ton is equal to kg A 10000 B 1000 C 100 class 11 physics CBSE

Difference Between Prokaryotic Cells and Eukaryotic Cells

State the laws of reflection of light

Explain zero factorial class 11 maths CBSE

