
Among ${{B}_{2}}{{H}_{6}},{{B}_{3}}{{N}_{3}}{{H}_{6}},{{N}_{2}}O,{{N}_{2}}{{O}_{4}},{{H}_{2}}{{S}_{2}}{{O}_{3}}$ and ${{H}_{2}}{{S}_{2}}{{O}_{8}}$, the total number of molecules containing covalent bond between two atoms of the same kind is ⋯⋯
Answer
566.4k+ views
Hint: A covalent bond is formed by the equal sharing of electrons .The given molecules are diborane, borazine, nitrous oxide, dinitrogen tetroxide, thiosulfuric acid and Peroxydisulfuric acid. By identifying the structures of given compounds, we can find the number of molecules containing covalent bonds between two atoms of the same kind.
Complete step by step solution:
-As we know, a covalent bond is formed by the equal sharing of electrons from both the participating atoms in the bond. Shared pair or bonding pair is the pair of electrons participating in this type of bonding. The covalent bonds are also known as molecular bonds. The Sharing of bonding pairs will guarantee that the atoms achieve stability (octet) in their outer shell similar to the atoms of noble gases.
- Let's take each of the given compounds and look at its structure in order to identify the covalent bond between two atoms of the same kind. The first molecule is diborane ${{B}_{2}}{{H}_{6}}$ and its structure is given below
- As we can see there is no covalent bond between two atoms of the same kind (between boron’s).The second molecule is borazine ${{B}_{3}}{{N}_{3}}{{H}_{6}}$ and its structure is given below
In borazine also, there is no covalent bond between two atoms of the same kind. The third molecule is nitrous oxide ${{N}_{2}}O$ and its structure is given below
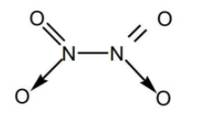
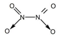
As we can see there is a covalent bond between two nitrogen atoms and hence ${{N}_{2}}O$ contains covalent bond between two atoms of the same kind. The fourth molecule is dinitrogen tetroxide ${{N}_{2}}{{O}_{4}}$ and its structure is given below
In dinitrogen tetroxide also there is a covalent bond between two nitrogen atoms and hence ${{N}_{2}}{{O}_{4}}$ contains covalent bond between two atoms of the same kind. The fifth molecule is ${{H}_{2}}{{S}_{2}}{{O}_{3}}$ thiosulfuric acid and its structure is given below.
In ${{H}_{2}}{{S}_{2}}{{O}_{3}}$ there is a covalent bond between two sulfur atoms and hence ${{H}_{2}}{{S}_{2}}{{O}_{3}}$ contains covalent bond between two atoms of the same kind. The sixth molecule is Peroxydisulfuric acid, ${{H}_{2}}{{S}_{2}}{{O}_{8}}$and its structure is given below
In ${{H}_{2}}{{S}_{2}}{{O}_{8}}$ there is a covalent bond between two oxygen atoms and hence ${{H}_{2}}{{S}_{2}}{{O}_{8}}$ contains covalent bond between two atoms of the same kind.
Therefore the molecules ${{N}_{2}}O$,${{N}_{2}}{{O}_{4}}$,${{H}_{2}}{{S}_{2}}{{O}_{3}}$ and ${{H}_{2}}{{S}_{2}}{{O}_{8}}$ contains covalent bond between two atoms of the same kind.
Thus the Total number of molecules containing covalent bonds between two atoms of the same kind are 4.
Note: Keep in mind that according to the number of shared electron pairs, the covalent bond can be classified into Single Covalent Bond, Double Covalent Bond and Triple Covalent Bond. The difference between covalent and ionic bonds should also be noted. A bond between two ions is called ionic bonds while the covalent bonds include pairs of electrons by two atoms binding them in a fixed orientation.
Complete step by step solution:
-As we know, a covalent bond is formed by the equal sharing of electrons from both the participating atoms in the bond. Shared pair or bonding pair is the pair of electrons participating in this type of bonding. The covalent bonds are also known as molecular bonds. The Sharing of bonding pairs will guarantee that the atoms achieve stability (octet) in their outer shell similar to the atoms of noble gases.
- Let's take each of the given compounds and look at its structure in order to identify the covalent bond between two atoms of the same kind. The first molecule is diborane ${{B}_{2}}{{H}_{6}}$ and its structure is given below
- As we can see there is no covalent bond between two atoms of the same kind (between boron’s).The second molecule is borazine ${{B}_{3}}{{N}_{3}}{{H}_{6}}$ and its structure is given below
As we can see there is a covalent bond between two nitrogen atoms and hence ${{N}_{2}}O$ contains covalent bond between two atoms of the same kind. The fourth molecule is dinitrogen tetroxide ${{N}_{2}}{{O}_{4}}$ and its structure is given below
In dinitrogen tetroxide also there is a covalent bond between two nitrogen atoms and hence ${{N}_{2}}{{O}_{4}}$ contains covalent bond between two atoms of the same kind. The fifth molecule is ${{H}_{2}}{{S}_{2}}{{O}_{3}}$ thiosulfuric acid and its structure is given below.
In ${{H}_{2}}{{S}_{2}}{{O}_{3}}$ there is a covalent bond between two sulfur atoms and hence ${{H}_{2}}{{S}_{2}}{{O}_{3}}$ contains covalent bond between two atoms of the same kind. The sixth molecule is Peroxydisulfuric acid, ${{H}_{2}}{{S}_{2}}{{O}_{8}}$and its structure is given below
In ${{H}_{2}}{{S}_{2}}{{O}_{8}}$ there is a covalent bond between two oxygen atoms and hence ${{H}_{2}}{{S}_{2}}{{O}_{8}}$ contains covalent bond between two atoms of the same kind.
Therefore the molecules ${{N}_{2}}O$,${{N}_{2}}{{O}_{4}}$,${{H}_{2}}{{S}_{2}}{{O}_{3}}$ and ${{H}_{2}}{{S}_{2}}{{O}_{8}}$ contains covalent bond between two atoms of the same kind.
Thus the Total number of molecules containing covalent bonds between two atoms of the same kind are 4.
Note: Keep in mind that according to the number of shared electron pairs, the covalent bond can be classified into Single Covalent Bond, Double Covalent Bond and Triple Covalent Bond. The difference between covalent and ionic bonds should also be noted. A bond between two ions is called ionic bonds while the covalent bonds include pairs of electrons by two atoms binding them in a fixed orientation.
Recently Updated Pages
Why are manures considered better than fertilizers class 11 biology CBSE

Find the coordinates of the midpoint of the line segment class 11 maths CBSE

Distinguish between static friction limiting friction class 11 physics CBSE

The Chairman of the constituent Assembly was A Jawaharlal class 11 social science CBSE

The first National Commission on Labour NCL submitted class 11 social science CBSE

Number of all subshell of n + l 7 is A 4 B 5 C 6 D class 11 chemistry CBSE

Trending doubts
Differentiate between an exothermic and an endothermic class 11 chemistry CBSE

10 examples of friction in our daily life

One Metric ton is equal to kg A 10000 B 1000 C 100 class 11 physics CBSE

Difference Between Prokaryotic Cells and Eukaryotic Cells

1 Quintal is equal to a 110 kg b 10 kg c 100kg d 1000 class 11 physics CBSE

State the laws of reflection of light

