
Acetone($CH_3COOH$) is the major product in:
I.
II.
III.
A. I
B. II.
C. III.
D. None of the above
Answer
577.8k+ views
Hint: The alkene and alkyne work as nucleophiles and attacks on acid forming a cation. The reagent ${{\text{H}}_{\text{2}}}{\text{S}}{{\text{O}}_{\text{4}}}{\text{/}}\,{\text{HgS}}{{\text{O}}_{\text{4}}}$ cause mercuration and demercuration. The reagent ${\text{B}}{{\text{H}}_{\text{3}}}{\text{.THF}}$ is an electrophile. This reagent breaks the triple bond of alkyne and gets attached. The hydrolysis of this attaches to the hydroxyl group at terminal carbon.
Complete step by step answer:
The mechanism of I-reaction is as follows:
First the reactant attacks on the hydronium ion, so carbocation forms. On this carbocation, oxygen atoms of water attack and get attached. Then by the removal of hydride enol forms. The enol can be converted into keto form by keto-enol tautomerism.
So, the product of reaction-I is a ketone that is propanone.
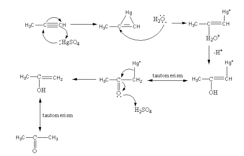
The mechanism of II-reaction is as follows:
First the mercury attacks on the reactant and forms a cyclic structure. Then water attacks on this cyclic structure forming a mercury cation. Then by the removal of hydride alcohol forms. The enol can be converted into keto form by keto-enol tautomerism. The oxygen atom of the ketone attacks on the acid and gets protonated and the diacation of mercury removes. The enol form again converts into keto form by keto-enol tautomerism.
So, the product of reaction-I is a ketone that is propanone.
The mechanism of III-reaction is as follows:
The nucleophilic alkyne attacks on electrophilic boron atoms. Then the hydrolysis takes place forming an alcohol. The alcohol shows keto-enol tautomerism and forms keto form that is aldehyde.
So, in reaction-I and reaction-II, acetone is formed as a product.
Therefore, option (A) I and option (B) II, both are correct.
Note:
In reaction-II mercury attaches with the reactant in between the reaction mechanism and then removes. The reaction-II is known as oxymercuration demercuration. In reaction-III, the given alkyne is terminal. The terminal alkyne gives aldehyde. The non-terminal alkyne gives ketone with this reagent. The reaction-III gives anti-markovnikov products.
Complete step by step answer:
The mechanism of I-reaction is as follows:
First the reactant attacks on the hydronium ion, so carbocation forms. On this carbocation, oxygen atoms of water attack and get attached. Then by the removal of hydride enol forms. The enol can be converted into keto form by keto-enol tautomerism.
So, the product of reaction-I is a ketone that is propanone.
The mechanism of II-reaction is as follows:
First the mercury attacks on the reactant and forms a cyclic structure. Then water attacks on this cyclic structure forming a mercury cation. Then by the removal of hydride alcohol forms. The enol can be converted into keto form by keto-enol tautomerism. The oxygen atom of the ketone attacks on the acid and gets protonated and the diacation of mercury removes. The enol form again converts into keto form by keto-enol tautomerism.
So, the product of reaction-I is a ketone that is propanone.
The mechanism of III-reaction is as follows:
The nucleophilic alkyne attacks on electrophilic boron atoms. Then the hydrolysis takes place forming an alcohol. The alcohol shows keto-enol tautomerism and forms keto form that is aldehyde.
So, in reaction-I and reaction-II, acetone is formed as a product.
Therefore, option (A) I and option (B) II, both are correct.
Note:
In reaction-II mercury attaches with the reactant in between the reaction mechanism and then removes. The reaction-II is known as oxymercuration demercuration. In reaction-III, the given alkyne is terminal. The terminal alkyne gives aldehyde. The non-terminal alkyne gives ketone with this reagent. The reaction-III gives anti-markovnikov products.
Recently Updated Pages
Master Class 11 Business Studies: Engaging Questions & Answers for Success

Master Class 11 Economics: Engaging Questions & Answers for Success

Master Class 11 Computer Science: Engaging Questions & Answers for Success

Master Class 11 English: Engaging Questions & Answers for Success

Master Class 11 Maths: Engaging Questions & Answers for Success

Master Class 11 Biology: Engaging Questions & Answers for Success

Trending doubts
One Metric ton is equal to kg A 10000 B 1000 C 100 class 11 physics CBSE

Discuss the various forms of bacteria class 11 biology CBSE

Draw a diagram of a plant cell and label at least eight class 11 biology CBSE

State the laws of reflection of light

Explain zero factorial class 11 maths CBSE

10 examples of friction in our daily life

