
(a) Write the Haworth structure of the sucrose.
(b) Sucrose is a non-reducing sugar. Why?
Answer
548.1k+ views
Hint: Carbohydrates are one of the class biomolecules composed of carbon, hydrogen, and oxygen elements. The general formula of the carbohydrates is \[{{\text{C}}_{\text{x}}}{\left( {{{\text{H}}_{\text{2}}}{\text{O}}} \right)_{\text{y}}}\]. Starch, sugars, and fiber are some examples of carbohydrates. Based on the forming units or units present carbohydrates are classified as monosaccharides, disaccharides, oligosaccharides, and polysaccharides.
Complete step-by-step answer:
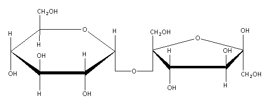
(a)Here, in the question, sucrose is given which is a disaccharide composed of the two monosaccharides that are glucose and fructose.In the case of sucrose, glucose and fructose are linked by \[{\text{\alpha - 1,\beta - 2 - glycosidic linkage}}\].
The Haworth structure of the sucrose is as follows:
Here, in the structure, a six membered ring compound is glucose and five membered ring compounds is fructose. Glucose and fructose both are the monosaccharides. Here, glucose and fructose are linked together by the glycosidic linkage as shown in the above structure.
(b)In the above structure, we can see that there is no free aldehyde or ketone group adjacent to \[{\text{ - CHOH}}\] group. Sucrose is the non-reducing sugar because the reducing groups of glucose and fructose are involved in the formation of the \[{\text{\alpha - 1,\beta - 2 - glycosidic linkage}}\] formation. Hence, it is not possible to reduce the sucrose molecule, and hence, acts as a non-reducing sugar.
Note: Based on the groups present in the sugars they are classified as reducing sugars and non-reducing sugars.Reducing sugars contain free aldehyde or ketone groups while non-reducing sugars do not contain free aldehyde or ketone groups. Reducing sugars gives Fehling’s test positive. All monosaccharides and some disaccharides are reducing sugars while some disaccharides and all polysaccharides are non-reducing sugars. Non-reducing sugars give negative Fehling’s test
Complete step-by-step answer:
(a)Here, in the question, sucrose is given which is a disaccharide composed of the two monosaccharides that are glucose and fructose.In the case of sucrose, glucose and fructose are linked by \[{\text{\alpha - 1,\beta - 2 - glycosidic linkage}}\].
The Haworth structure of the sucrose is as follows:
Here, in the structure, a six membered ring compound is glucose and five membered ring compounds is fructose. Glucose and fructose both are the monosaccharides. Here, glucose and fructose are linked together by the glycosidic linkage as shown in the above structure.
(b)In the above structure, we can see that there is no free aldehyde or ketone group adjacent to \[{\text{ - CHOH}}\] group. Sucrose is the non-reducing sugar because the reducing groups of glucose and fructose are involved in the formation of the \[{\text{\alpha - 1,\beta - 2 - glycosidic linkage}}\] formation. Hence, it is not possible to reduce the sucrose molecule, and hence, acts as a non-reducing sugar.
Note: Based on the groups present in the sugars they are classified as reducing sugars and non-reducing sugars.Reducing sugars contain free aldehyde or ketone groups while non-reducing sugars do not contain free aldehyde or ketone groups. Reducing sugars gives Fehling’s test positive. All monosaccharides and some disaccharides are reducing sugars while some disaccharides and all polysaccharides are non-reducing sugars. Non-reducing sugars give negative Fehling’s test
Recently Updated Pages
Why are manures considered better than fertilizers class 11 biology CBSE

Find the coordinates of the midpoint of the line segment class 11 maths CBSE

Distinguish between static friction limiting friction class 11 physics CBSE

The Chairman of the constituent Assembly was A Jawaharlal class 11 social science CBSE

The first National Commission on Labour NCL submitted class 11 social science CBSE

Number of all subshell of n + l 7 is A 4 B 5 C 6 D class 11 chemistry CBSE

Trending doubts
Differentiate between an exothermic and an endothermic class 11 chemistry CBSE

10 examples of friction in our daily life

One Metric ton is equal to kg A 10000 B 1000 C 100 class 11 physics CBSE

Difference Between Prokaryotic Cells and Eukaryotic Cells

1 Quintal is equal to a 110 kg b 10 kg c 100kg d 1000 class 11 physics CBSE

State the laws of reflection of light

