
A mixture of gases $ {O_2} $ , $ {H_2} $ and $ CO $ are taken in a closed vessel containing charcoal. The graph that represents the correct behaviour of pressure with time is:
A.
B.
C.
D.
Answer
508.5k+ views
Hint :Adsorption: It is the tendency of a solid substance to attract molecules of gases and liquids to fill the pores or sites available at its surface. Adsorption is further categorized into two parts i.e., physical adsorption and chemical adsorption.
Complete Step By Step Answer:
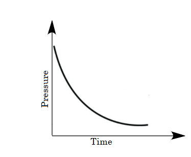
Activated carbon also known as charcoal is an excellent adsorbent because it is a highly spongy material and gives a very large surface area to which external molecules may adsorb. Its major application is to remove impurities from a stream of air by physically attaching contaminated particles to the surface of activated carbon.
Now, we know that the rate of adsorption of a gas is directly proportional to the pressure of the system i.e., if the pressure of the system is increased then an increase in the rate of adsorption also increases.
For the given case, a mixture of gases is taken in the closed vessel i.e., as the time increases the molecules of gases get adsorbed and the vacancies of pores on charcoal decreases due to which the rate of adsorption decreases with increase in time. Hence a decrease in pressure is also observed on increasing time. So, options (B) and (D) are eliminated because in the given graphs pressure is not decreasing with time.
The change in pressure with time will not be a linear decrease because the molecules of gases are not adsorbed linearly. The molecules of gases absorb as per the sites available per unit area. Therefore option (C) is eliminated as well.
As the decrease in pressure on increasing time is non-linear. Thus pressure varies with time as follows:
So, option (A) is the correct answer.
Note :
Do not get confused between the terms adsorption and absorption. The major difference is that absorption is a phenomenon in which the gas or liquid molecules are fully dissolved whereas in adsorption, the molecules are stuck at the surface of the solid substance.
Complete Step By Step Answer:
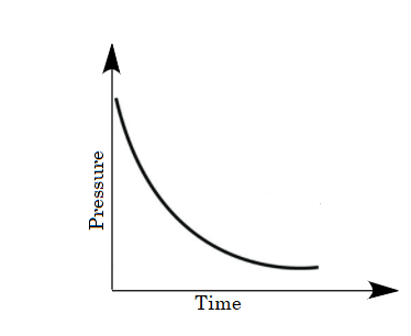
Activated carbon also known as charcoal is an excellent adsorbent because it is a highly spongy material and gives a very large surface area to which external molecules may adsorb. Its major application is to remove impurities from a stream of air by physically attaching contaminated particles to the surface of activated carbon.
Now, we know that the rate of adsorption of a gas is directly proportional to the pressure of the system i.e., if the pressure of the system is increased then an increase in the rate of adsorption also increases.
For the given case, a mixture of gases is taken in the closed vessel i.e., as the time increases the molecules of gases get adsorbed and the vacancies of pores on charcoal decreases due to which the rate of adsorption decreases with increase in time. Hence a decrease in pressure is also observed on increasing time. So, options (B) and (D) are eliminated because in the given graphs pressure is not decreasing with time.
The change in pressure with time will not be a linear decrease because the molecules of gases are not adsorbed linearly. The molecules of gases absorb as per the sites available per unit area. Therefore option (C) is eliminated as well.
As the decrease in pressure on increasing time is non-linear. Thus pressure varies with time as follows:
So, option (A) is the correct answer.
Note :
Do not get confused between the terms adsorption and absorption. The major difference is that absorption is a phenomenon in which the gas or liquid molecules are fully dissolved whereas in adsorption, the molecules are stuck at the surface of the solid substance.
Recently Updated Pages
Why are manures considered better than fertilizers class 11 biology CBSE

Find the coordinates of the midpoint of the line segment class 11 maths CBSE

Distinguish between static friction limiting friction class 11 physics CBSE

The Chairman of the constituent Assembly was A Jawaharlal class 11 social science CBSE

The first National Commission on Labour NCL submitted class 11 social science CBSE

Number of all subshell of n + l 7 is A 4 B 5 C 6 D class 11 chemistry CBSE

Trending doubts
Differentiate between an exothermic and an endothermic class 11 chemistry CBSE

10 examples of friction in our daily life

One Metric ton is equal to kg A 10000 B 1000 C 100 class 11 physics CBSE

Difference Between Prokaryotic Cells and Eukaryotic Cells

1 Quintal is equal to a 110 kg b 10 kg c 100kg d 1000 class 11 physics CBSE

State the laws of reflection of light

