
A football is kicked at \[{30^{\text{o}}}\] to the horizontal and comes back to the same horizontal level. Plot the following graphs in order to represent the motion of the football: (i) horizontal component of velocity against time (ii) horizontal component of position against time (iii) vertical component of acceleration against time.
Answer
546k+ views
Hint: In this question we are asked to plot three graphs. First, draw a diagram showing the two components of velocity. Then using the diagram and the given information plot each graph one by one. Use the concept of acceleration and velocity to plot the graphs.
Complete step by step answer:
Given, the angle to the horizontal at which the football is kicked, \[{30^{\text{o}}}\].Let us draw a diagram to understand the problem and show the vertical and horizontal component of velocity.
(i) Horizontal component of velocity against time:- In horizontal direction, there is no acceleration of the football. And when acceleration is zero this means the body is moving with constant velocity. So, here as the acceleration in horizontal direction is zero so, the horizontal component of velocity will be constant. The horizontal component here is \[v\cos {30^{\text{o}}}\].The plot of horizontal component of velocity against time will be,
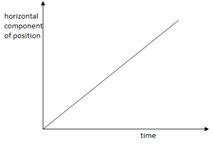
(ii) Horizontal component of position against time:- The horizontal component of position is increasing with time. Therefore, the plot of horizontal component of position against time will be,
(iii) Vertical component of acceleration against time:- Here, the vertical component of acceleration is acceleration due to gravity, which is constant. Therefore, the plot of vertical component of acceleration and time will be,
Note: There are few concepts of acceleration and velocity that one should always remember. If a body is moving with uniform velocity then its acceleration is zero and we can say the body is in uniform motion. Also a vector quantity can be resolved into two components, as velocity is a vector quantity we had resolved the velocity into two components.
Complete step by step answer:
Given, the angle to the horizontal at which the football is kicked, \[{30^{\text{o}}}\].Let us draw a diagram to understand the problem and show the vertical and horizontal component of velocity.
(i) Horizontal component of velocity against time:- In horizontal direction, there is no acceleration of the football. And when acceleration is zero this means the body is moving with constant velocity. So, here as the acceleration in horizontal direction is zero so, the horizontal component of velocity will be constant. The horizontal component here is \[v\cos {30^{\text{o}}}\].The plot of horizontal component of velocity against time will be,
(ii) Horizontal component of position against time:- The horizontal component of position is increasing with time. Therefore, the plot of horizontal component of position against time will be,
(iii) Vertical component of acceleration against time:- Here, the vertical component of acceleration is acceleration due to gravity, which is constant. Therefore, the plot of vertical component of acceleration and time will be,
Note: There are few concepts of acceleration and velocity that one should always remember. If a body is moving with uniform velocity then its acceleration is zero and we can say the body is in uniform motion. Also a vector quantity can be resolved into two components, as velocity is a vector quantity we had resolved the velocity into two components.
Recently Updated Pages
Master Class 11 Economics: Engaging Questions & Answers for Success

Master Class 11 English: Engaging Questions & Answers for Success

Master Class 11 Social Science: Engaging Questions & Answers for Success

Master Class 11 Biology: Engaging Questions & Answers for Success

Class 11 Question and Answer - Your Ultimate Solutions Guide

Master Class 11 Business Studies: Engaging Questions & Answers for Success

Trending doubts
1 Quintal is equal to a 110 kg b 10 kg c 100kg d 1000 class 11 physics CBSE

What is a periderm How does periderm formation take class 11 biology CBSE

What are porins class 11 biology CBSE

Why is steel more elastic than rubber class 11 physics CBSE

Differentiate between red algae and brown algae class 11 biology CBSE

What is boron A Nonmetal B Metal C Metalloid D All class 11 chemistry CBSE

