
Write the Rutherford -Soddy law of radioactive decay and draw decay curve.
Answer
577.5k+ views
Hint:The Rutherford -Soddy law tells us about the radiation and decay of elements.
Formula used: \[N={{N}_{0}}{{e}^{-\lambda t}}\]
Complete Answer:
1) The radioactivity is based on counting of disintegration per second. The activity depends on the number of decays per second.
2) The law is the exponential decay law which states that a fixed fraction of elements will decay per unit time. Let us take the example, the half part of thorium decays and the remaining in the next four days and so on.
The derivation of the formula: -
\[\begin{align}
& -\dfrac{dN}{dt}\alpha N \\
& \Rightarrow -\dfrac{dN}{dt}=kN \\
& \Rightarrow \int\limits_{{{N}_{0}}}^{N}{\dfrac{dN}{N}}=\lambda \int\limits_{0}^{t}{dt} \\
& \Rightarrow N={{N}_{0}}{{e}^{-\lambda t}} \\
\end{align}\]
where, N= size of population of radioactive element , Nā= size of initial population of radioactive element, š = decay constant.
This shows that the population decays exponentially at a rate that depends on the decay constant.
The time required for half of the population to decay is called the half-life which is given by
\[{{T}_{{}^{1}/{}_{2}}}=\dfrac{0.693}{\lambda }\]
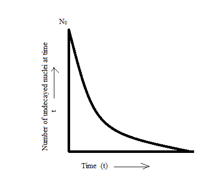
The decay curve is shown in the figure below:
Note: Radioactivity property is exhibited by certain types of matter of emitting energy simultaneously. Half-life is the time required for an element to reduce to half of its initial value.
Formula used: \[N={{N}_{0}}{{e}^{-\lambda t}}\]
Complete Answer:
1) The radioactivity is based on counting of disintegration per second. The activity depends on the number of decays per second.
2) The law is the exponential decay law which states that a fixed fraction of elements will decay per unit time. Let us take the example, the half part of thorium decays and the remaining in the next four days and so on.
The derivation of the formula: -
\[\begin{align}
& -\dfrac{dN}{dt}\alpha N \\
& \Rightarrow -\dfrac{dN}{dt}=kN \\
& \Rightarrow \int\limits_{{{N}_{0}}}^{N}{\dfrac{dN}{N}}=\lambda \int\limits_{0}^{t}{dt} \\
& \Rightarrow N={{N}_{0}}{{e}^{-\lambda t}} \\
\end{align}\]
where, N= size of population of radioactive element , Nā= size of initial population of radioactive element, š = decay constant.
This shows that the population decays exponentially at a rate that depends on the decay constant.
The time required for half of the population to decay is called the half-life which is given by
\[{{T}_{{}^{1}/{}_{2}}}=\dfrac{0.693}{\lambda }\]
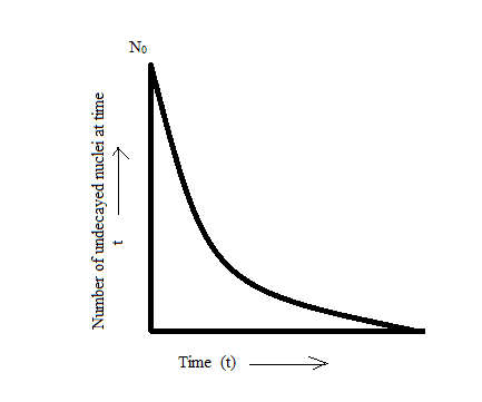
The decay curve is shown in the figure below:
Note: Radioactivity property is exhibited by certain types of matter of emitting energy simultaneously. Half-life is the time required for an element to reduce to half of its initial value.
Recently Updated Pages
A man running at a speed 5 ms is viewed in the side class 12 physics CBSE

State and explain Hardy Weinbergs Principle class 12 biology CBSE

Which of the following statements is wrong a Amnion class 12 biology CBSE

Two Planoconcave lenses 1 and 2 of glass of refractive class 12 physics CBSE

The compound 2 methyl 2 butene on reaction with NaIO4 class 12 chemistry CBSE

Bacterial cell wall is made up of A Cellulose B Hemicellulose class 12 biology CBSE

Trending doubts
What are the major means of transport Explain each class 12 social science CBSE

Which are the Top 10 Largest Countries of the World?

Draw a labelled sketch of the human eye class 12 physics CBSE

Explain sex determination in humans with line diag class 12 biology CBSE

The pH of the pancreatic juice is A 64 B 86 C 120 D class 12 biology CBSE

Give 10 examples of unisexual and bisexual flowers

