
Write a note on starch.
Answer
573k+ views
Hint: Starch is a polymeric carbohydrate that consists of numerous glucose units joined together by glycosidic bonds. It is a white, tasteless and odorless powder and it consists of two types of molecules known as amylose and amylopectin.
Complete step by step answer:
-Starch is one of the most important dietary sources for human beings. We can find the high content of starch in cereals, roots and also in some of the vegetables. In simple words, it can be defined as the most complex carbohydrate compound. It is a renewable and biodegradable product and hence acts as a perfect raw material and a substitute for fossil fuel components, in making detergents, glues, plastics etc.
-The iodine test is the test which is mainly performed to test the presence of starch. Now, starch contains two types of components i.e. Amylose and Amylopectin.
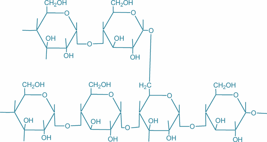
-Amylose is soluble in water and contains around $15 - 20\% $ 15 of starch. We can say that it is a long unbranched chain with $\alpha - D + $ glucose units whereas the starch content in Amylopectin is and is insoluble in water. The structures of both the components are as shown:
a. Amylose
b. Amylopectin
Starch industry extracts and refines the starch from seeds, roots and tubers by wet grinding, washing, sieving and drying. Today, the main commercial refined starches are cornstarch, tapioca, arrowroot, wheat, and rice and potato starches.
Note:
Glycogen is a polysaccharide of glucose that serves as a form of energy storage in fungi and animals. It is also known as animal starch and is composed of long polymer chains of glucose units bonded with alpha acetal linkage.
Complete step by step answer:
-Starch is one of the most important dietary sources for human beings. We can find the high content of starch in cereals, roots and also in some of the vegetables. In simple words, it can be defined as the most complex carbohydrate compound. It is a renewable and biodegradable product and hence acts as a perfect raw material and a substitute for fossil fuel components, in making detergents, glues, plastics etc.
-The iodine test is the test which is mainly performed to test the presence of starch. Now, starch contains two types of components i.e. Amylose and Amylopectin.
-Amylose is soluble in water and contains around $15 - 20\% $ 15 of starch. We can say that it is a long unbranched chain with $\alpha - D + $ glucose units whereas the starch content in Amylopectin is and is insoluble in water. The structures of both the components are as shown:
a. Amylose
b. Amylopectin
Starch industry extracts and refines the starch from seeds, roots and tubers by wet grinding, washing, sieving and drying. Today, the main commercial refined starches are cornstarch, tapioca, arrowroot, wheat, and rice and potato starches.
Note:
Glycogen is a polysaccharide of glucose that serves as a form of energy storage in fungi and animals. It is also known as animal starch and is composed of long polymer chains of glucose units bonded with alpha acetal linkage.
Recently Updated Pages
Master Class 12 Business Studies: Engaging Questions & Answers for Success

Master Class 12 Economics: Engaging Questions & Answers for Success

Master Class 12 English: Engaging Questions & Answers for Success

Master Class 12 Maths: Engaging Questions & Answers for Success

Master Class 12 Social Science: Engaging Questions & Answers for Success

Master Class 12 Chemistry: Engaging Questions & Answers for Success

Trending doubts
The pH of the pancreatic juice is A 64 B 86 C 120 D class 12 biology CBSE

Explain sex determination in humans with the help of class 12 biology CBSE

Draw ray diagrams each showing i myopic eye and ii class 12 physics CBSE

Which state in India is known as the Granary of India class 12 social science CBSE

Using Huygens wave theory derive Snells law of ref class 12 physics CBSE

Dihybrid cross is made between RRYY yellow round seed class 12 biology CBSE

