
With respect to the conformers of ethane, which of the following statements is true?
A.Bond angle changes but bond length remain same
B.Both bond angle and bond length changes
C.Both bond angle and bond length remain same
D.None of the above
Answer
551.7k+ views
Hint:Since, we know that there are seven sigma bonds in the ethane molecule, rotation about the six carbon-hydrogen bonds does not result in any change in the shape of the molecule as the hydrogen atoms are essentially spherical. The rotation about the carbon-carbon bond, however, results in many different possible molecular conformations.
Complete answer:
Conformational isomerism involves rotation about sigma bonds, and does not involve any differences in the connectivity or geometry of bonding. Two or more structures that are categorized as conformational isomers, or conformers, are really just two of the exact same molecules that differ only in terms of the angle about one or more sigma bonds.
The six carbon-hydrogen bonds and the two carbons at \[{120^0}\]angles, which is what the actual tetrahedral geometry looks like when viewed from this perspective and flattened into two dimensions.
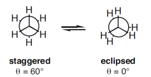
In the ‘staggered’ conformation, in which all of the C-H bonds on the front carbon are positioned at dihedral angles of ${60^0}$relative to the C-H bonds on the back carbon. In this conformation, the distance between the bonds is maximized. And If we now rotate the front \[C{H_3}\] group ${60^0}$clockwise, the molecule is in the highest energy ‘eclipsed' conformation, where the hydrogens on the front carbon are as close as possible to the hydrogens on the back carbon.
Hence, conformers of ethane have different dihedral angles and there is no change in bond angles and the bond lengths in the conformations of ethane. The only change taking place is the change in the dihedral angle.
Thus, both the bond angle and bond length are the same
Therefore, the correct answer is option (C).
Note:
If the groups are large enough to have a significant effect on the energy of rotation, they may tend to prefer certain spatial arrangements rather than others. These different spatial arrangements of the groups give rise to conformers.
Complete answer:
Conformational isomerism involves rotation about sigma bonds, and does not involve any differences in the connectivity or geometry of bonding. Two or more structures that are categorized as conformational isomers, or conformers, are really just two of the exact same molecules that differ only in terms of the angle about one or more sigma bonds.
The six carbon-hydrogen bonds and the two carbons at \[{120^0}\]angles, which is what the actual tetrahedral geometry looks like when viewed from this perspective and flattened into two dimensions.
In the ‘staggered’ conformation, in which all of the C-H bonds on the front carbon are positioned at dihedral angles of ${60^0}$relative to the C-H bonds on the back carbon. In this conformation, the distance between the bonds is maximized. And If we now rotate the front \[C{H_3}\] group ${60^0}$clockwise, the molecule is in the highest energy ‘eclipsed' conformation, where the hydrogens on the front carbon are as close as possible to the hydrogens on the back carbon.
Hence, conformers of ethane have different dihedral angles and there is no change in bond angles and the bond lengths in the conformations of ethane. The only change taking place is the change in the dihedral angle.
Thus, both the bond angle and bond length are the same
Therefore, the correct answer is option (C).
Note:
If the groups are large enough to have a significant effect on the energy of rotation, they may tend to prefer certain spatial arrangements rather than others. These different spatial arrangements of the groups give rise to conformers.
Recently Updated Pages
The number of solutions in x in 02pi for which sqrt class 12 maths CBSE

Write any two methods of preparation of phenol Give class 12 chemistry CBSE

Differentiate between action potential and resting class 12 biology CBSE

Two plane mirrors arranged at right angles to each class 12 physics CBSE

Which of the following molecules is are chiral A I class 12 chemistry CBSE

Name different types of neurons and give one function class 12 biology CBSE

Trending doubts
An example of chemosynthetic bacteria is A E coli B class 11 biology CBSE

Name the metals and nonmetals in the first twenty class 11 chemistry CBSE

Which one of the following is not a method of soil class 11 biology CBSE

What is the nature of force between two parallel conductors class 11 physics CBSE

Whiptails disease in cauliflower is noted due to deficiency class 11 biology CBSE

How do I convert ms to kmh Give an example class 11 physics CBSE

