
Which of the following statements is not correct?
(A) bis (glycinatio) zinc (II) is optically active.
(B) \[{[NiC{l_4}]^{2 - }}\] and \[{[PtC{l_4}]^{2 - }}\] have different shapes.
(C) \[{[NiC{l_4}]^{2 - }}\] is a square planar complex.
(D) \[{[Ni{(CN)_4}]^{2 - }}\] and \[[Ni{(CO)_4}]\] have the same magnetic moment.
Answer
550.2k+ views
Hint: In order to find which of the following statements is correct and which is incorrect, we have to discuss each statement separately and see which is incorrect. We have to discuss optical activity, different shapes and magnetic moments respectively.
Complete step by step answer:
Let us discuss each option to see which are not the correct statements.
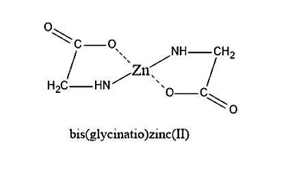
- First is the option (A). The structure of bis(glycinatio)zinc (II) is given below. On seeing the structure, we can say that bis(glycinatio)zinc (II) will not have any plane of symmetry. Therefore, bis(glycinatio)zinc (II) is optically active.
Therefore, the given statement is correct.
- Now let us discuss the option(B). let us see the shape of \[{[NiC{l_4}]^{2 - }}\]and \[{[PtC{l_4}]^{2 - }}\].
The nickel is having an atomic number of 28 and therefore the electronic configuration of nickel is \[[Ar]3{d^8}4{s^2}\]. In \[{[NiC{l_4}]^{2 - }}\],the nickel is having an oxidation state of +2. The electronic configuration of nickel in \[{[NiC{l_4}]^{2 - }}\] is \[[Ar]3{d^8}\]. Therefore, the hybridisation of \[{[NiC{l_4}]^{2 - }}\] is \[s{p^3}\] and it will be having a tetrahedral structure.
The atomic number of Platinum is 78 and the electronic configuration of Platinum was found to be \[[Xe]4{f^{14}}5{d^9}6{s^1}\]. In \[{[PtC{l_4}]^{2 - }}\], the platinum is having an electronic configuration of \[[Xe]4{f^{14}}5{d^8}\]. Therefore, it is having a hybridisation of \[ds{p^2}\] and therefore, it is having a square planar structure.
Hence it is proved that both \[{[PtC{l_4}]^{2 - }}\] and \[{[NiC{l_4}]^{2 - }}\] are having different shapes.
Therefore, the given statement is correct.
- Now let us discuss the option (C). The nickel is having an atomic number of 28 and therefore the electronic configuration of nickel is \[[Ar]3{d^8}4{s^2}\]. In \[{[NiC{l_4}]^{2 - }}\],the nickel is having an oxidation state of +2. The electronic configuration of nickel in \[{[NiC{l_4}]^{2 - }}\] is \[[Ar]3{d^8}\]. Therefore, the hybridisation of \[{[NiC{l_4}]^{2 - }}\] is \[s{p^3}\] and it will be having a tetrahedral structure.
Therefore, the given statement saying \[{[NiC{l_4}]^{2 - }}\] is a square planar complex is incorrect.
- Let us now discuss the option (D). \[{[Ni{(CN)_4}]^{2 - }}\] is having \[ds{p^2}\] hybridisation and therefore the structure is square planar. \[[Ni{(CO)_4}]\] is having \[s{p^3}\] hybridisation and therefore the structure is tetrahedral. From the below image, we can see that all the spins are paired in both the complexes i.e., \[{[Ni{(CN)_4}]^{2 - }}\] and \[[Ni{(CO)_4}]\]. Both are diamagnetic in nature.
Therefore, the given statement is correct.
So the correct answer is “C”:
Note: We have to remember that the paramagnetic and diamagnetic are different from one another. When the spins in the orbitals are paired, then it is said to be paramagnetic. When the spins in the orbitals are unpaired, then it is called paramagnetic.
Complete step by step answer:
Let us discuss each option to see which are not the correct statements.
- First is the option (A). The structure of bis(glycinatio)zinc (II) is given below. On seeing the structure, we can say that bis(glycinatio)zinc (II) will not have any plane of symmetry. Therefore, bis(glycinatio)zinc (II) is optically active.
Therefore, the given statement is correct.
- Now let us discuss the option(B). let us see the shape of \[{[NiC{l_4}]^{2 - }}\]and \[{[PtC{l_4}]^{2 - }}\].
The nickel is having an atomic number of 28 and therefore the electronic configuration of nickel is \[[Ar]3{d^8}4{s^2}\]. In \[{[NiC{l_4}]^{2 - }}\],the nickel is having an oxidation state of +2. The electronic configuration of nickel in \[{[NiC{l_4}]^{2 - }}\] is \[[Ar]3{d^8}\]. Therefore, the hybridisation of \[{[NiC{l_4}]^{2 - }}\] is \[s{p^3}\] and it will be having a tetrahedral structure.
The atomic number of Platinum is 78 and the electronic configuration of Platinum was found to be \[[Xe]4{f^{14}}5{d^9}6{s^1}\]. In \[{[PtC{l_4}]^{2 - }}\], the platinum is having an electronic configuration of \[[Xe]4{f^{14}}5{d^8}\]. Therefore, it is having a hybridisation of \[ds{p^2}\] and therefore, it is having a square planar structure.
Hence it is proved that both \[{[PtC{l_4}]^{2 - }}\] and \[{[NiC{l_4}]^{2 - }}\] are having different shapes.
Therefore, the given statement is correct.
- Now let us discuss the option (C). The nickel is having an atomic number of 28 and therefore the electronic configuration of nickel is \[[Ar]3{d^8}4{s^2}\]. In \[{[NiC{l_4}]^{2 - }}\],the nickel is having an oxidation state of +2. The electronic configuration of nickel in \[{[NiC{l_4}]^{2 - }}\] is \[[Ar]3{d^8}\]. Therefore, the hybridisation of \[{[NiC{l_4}]^{2 - }}\] is \[s{p^3}\] and it will be having a tetrahedral structure.
Therefore, the given statement saying \[{[NiC{l_4}]^{2 - }}\] is a square planar complex is incorrect.
- Let us now discuss the option (D). \[{[Ni{(CN)_4}]^{2 - }}\] is having \[ds{p^2}\] hybridisation and therefore the structure is square planar. \[[Ni{(CO)_4}]\] is having \[s{p^3}\] hybridisation and therefore the structure is tetrahedral. From the below image, we can see that all the spins are paired in both the complexes i.e., \[{[Ni{(CN)_4}]^{2 - }}\] and \[[Ni{(CO)_4}]\]. Both are diamagnetic in nature.
Therefore, the given statement is correct.
So the correct answer is “C”:
Note: We have to remember that the paramagnetic and diamagnetic are different from one another. When the spins in the orbitals are paired, then it is said to be paramagnetic. When the spins in the orbitals are unpaired, then it is called paramagnetic.
Recently Updated Pages
Why are manures considered better than fertilizers class 11 biology CBSE

Find the coordinates of the midpoint of the line segment class 11 maths CBSE

Distinguish between static friction limiting friction class 11 physics CBSE

The Chairman of the constituent Assembly was A Jawaharlal class 11 social science CBSE

The first National Commission on Labour NCL submitted class 11 social science CBSE

Number of all subshell of n + l 7 is A 4 B 5 C 6 D class 11 chemistry CBSE

Trending doubts
What is meant by exothermic and endothermic reactions class 11 chemistry CBSE

10 examples of friction in our daily life

One Metric ton is equal to kg A 10000 B 1000 C 100 class 11 physics CBSE

1 Quintal is equal to a 110 kg b 10 kg c 100kg d 1000 class 11 physics CBSE

Difference Between Prokaryotic Cells and Eukaryotic Cells

What are Quantum numbers Explain the quantum number class 11 chemistry CBSE

