
Which of the following reactions will best convert nitrobenzene into 2, 4, 6-trichlorobromobenzene?
A) $\text{ SnC}{{\text{l}}_{\text{2}}}\text{ / HCl , C}{{\text{l}}_{\text{2}}}-{{\text{H}}_{\text{2}}}\text{O , NaN}{{\text{O}}_{\text{2}}}\text{ / HCl }-{{\text{0}}^{\text{0}}}\text{C , CuBr }$
B) $\text{ C}{{\text{l}}_{\text{2}}}\text{ / AlC}{{\text{l}}_{\text{3}}}\text{ , SnC}{{\text{l}}_{\text{2}}}\text{/HCl , NaN}{{\text{O}}_{\text{2}}}\text{ / HCl }-{{\text{0}}^{\text{0}}}\text{C , CuBr }$
C) $\text{ SnC}{{\text{l}}_{\text{2}}}\text{ / HCl , B}{{\text{r}}_{\text{2}}}-{{\text{H}}_{\text{2}}}\text{O , NaN}{{\text{O}}_{\text{2}}}\text{ / HCl }-{{\text{0}}^{\text{0}}}\text{C , CuCl }$
D) $\text{ SnC}{{\text{l}}_{\text{2}}}\text{ / HCl , NaN}{{\text{O}}_{\text{2}}}\text{ / HCl }-{{\text{0}}^{\text{0}}}\text{C , }{{\text{H}}_{\text{2}}}\text{O , C}{{\text{l}}_{\text{2}}}\text{(aq) , HBr }$
Answer
570.9k+ views
Hint: The aromatic nitro compounds are reduced by the active metals. The nitro group is reduced to $\text{ }-\text{N}{{\text{H}}_{\text{2}}}\text{ }$ groups. The exposure to the excess of halogen results in the 2, 4, 6-tri halo substituted benzene ring. The reaction of the conversion of aromatic primary amines to the diazonium salt $\text{ ArN}_{2}^{+}{{\text{X}}^{-}}\text{ }$is a diazotization reaction. The diazonium group in the diazonium salts is replaced by the groups to get the desired product.
Complete answer:
The nitro compounds can be reduced with active metals such as $\text{ Fe }$ , $\text{ Sn }$ , $\text{ Zn }$ , etc. And conc. hydrochloric acid. The mixture of $\text{ SnC}{{\text{l}}_{\text{2}}}\text{ }$ and conc.$\text{ HCl }$ has been used for the reduction of aromatic nitro compounds.
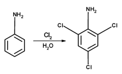
Aniline when reacted with the chlorine molecules, the aniline is converted into 2, 4, 6-trichloroaniline. The reaction of conversion of aniline to the 2, 4, 6-trichloroaniline is as follows,
The diazonium salts have the general formula of $\text{ ArN}_{2}^{+}{{\text{X}}^{-}}\text{ }$ , where $\text{ }{{\text{X}}^{-}}\text{ }$ maybe anion like chloride, bromide, etc. and the group $\text{ N}_{2}^{+\text{ }}$ ($\text{ }-\text{N }\equiv \text{ N}-\text{ }$) is called as the diazonium group. These are obtained when the aromatic primary amines react with nitrous acid.
The diazonium salt is prepared by heating the ice-cold solution of aromatic primary amines in excess of the mineral acid like $\text{ HCl }$ or $\text{ }{{\text{H}}_{\text{2}}}\text{S}{{\text{O}}_{\text{4}}}\text{ }$ with the ice-cold solution of sodium nitrite dissolved in water. The temperature is maintained between the $\text{ 273 K }-278\text{ K }$ because most of the diazonium salts decompose at a higher temperature.
The benzene diazonium chloride of The 2, 4, 6-trichloroaniline is prepared by treating an ice-cold solution of aniline in hydrochloric acid with an ice-cold solution of sodium nitrite at about $\text{ }{{\text{0}}^{\text{0}}}\text{C }$ . The reaction of converting aromatic primary amine to diazonium salt is called diazotization. The 2, 4, 6-trichloroaniline is converted into diazonium salt as follows,
$\text{ NaN}{{\text{O}}_{\text{2}}}\text{ + HCl }\to \text{ NaCl + HONO }$
The diazonium salt of The 2, 4, 6-trichloroaniline when warmed with the cuprous bromide $\text{ CuBr }$ in hydrochloric acid the corresponding bromide is formed. The resultant compound is 2, 4, 6-trichlorobromobenzene. The diazonium salt is converted to the halide group. The reaction is as follows,
Thus, the nitrobenzene is converted into the 2, 4, 6-trichlorobromobenzene by the action of the following reagent : $\text{ SnC}{{\text{l}}_{\text{2}}}\text{ / HCl , C}{{\text{l}}_{\text{2}}}-{{\text{H}}_{\text{2}}}\text{O , NaN}{{\text{O}}_{\text{2}}}\text{ / HCl }-{{\text{0}}^{\text{0}}}\text{C , CuBr }$
Hence, (A) is the correct option.
Note:
Note that the preparation of aryl halide from diazonium salt is a good method and has many advantages. Aryl chlorides and bromides when obtained by direct halogenation of aromatic compounds give a mixture of products that are difficult to separate. However, in the diazonium salt replacement method, a pure single product is formed. This also provides a good synthetic route for the preparation of aryl iodides and fluorides which are not obtained by direct halogenation.
Complete answer:
The nitro compounds can be reduced with active metals such as $\text{ Fe }$ , $\text{ Sn }$ , $\text{ Zn }$ , etc. And conc. hydrochloric acid. The mixture of $\text{ SnC}{{\text{l}}_{\text{2}}}\text{ }$ and conc.$\text{ HCl }$ has been used for the reduction of aromatic nitro compounds.
Aniline when reacted with the chlorine molecules, the aniline is converted into 2, 4, 6-trichloroaniline. The reaction of conversion of aniline to the 2, 4, 6-trichloroaniline is as follows,
The diazonium salts have the general formula of $\text{ ArN}_{2}^{+}{{\text{X}}^{-}}\text{ }$ , where $\text{ }{{\text{X}}^{-}}\text{ }$ maybe anion like chloride, bromide, etc. and the group $\text{ N}_{2}^{+\text{ }}$ ($\text{ }-\text{N }\equiv \text{ N}-\text{ }$) is called as the diazonium group. These are obtained when the aromatic primary amines react with nitrous acid.
The diazonium salt is prepared by heating the ice-cold solution of aromatic primary amines in excess of the mineral acid like $\text{ HCl }$ or $\text{ }{{\text{H}}_{\text{2}}}\text{S}{{\text{O}}_{\text{4}}}\text{ }$ with the ice-cold solution of sodium nitrite dissolved in water. The temperature is maintained between the $\text{ 273 K }-278\text{ K }$ because most of the diazonium salts decompose at a higher temperature.
The benzene diazonium chloride of The 2, 4, 6-trichloroaniline is prepared by treating an ice-cold solution of aniline in hydrochloric acid with an ice-cold solution of sodium nitrite at about $\text{ }{{\text{0}}^{\text{0}}}\text{C }$ . The reaction of converting aromatic primary amine to diazonium salt is called diazotization. The 2, 4, 6-trichloroaniline is converted into diazonium salt as follows,
$\text{ NaN}{{\text{O}}_{\text{2}}}\text{ + HCl }\to \text{ NaCl + HONO }$
The diazonium salt of The 2, 4, 6-trichloroaniline when warmed with the cuprous bromide $\text{ CuBr }$ in hydrochloric acid the corresponding bromide is formed. The resultant compound is 2, 4, 6-trichlorobromobenzene. The diazonium salt is converted to the halide group. The reaction is as follows,
Thus, the nitrobenzene is converted into the 2, 4, 6-trichlorobromobenzene by the action of the following reagent : $\text{ SnC}{{\text{l}}_{\text{2}}}\text{ / HCl , C}{{\text{l}}_{\text{2}}}-{{\text{H}}_{\text{2}}}\text{O , NaN}{{\text{O}}_{\text{2}}}\text{ / HCl }-{{\text{0}}^{\text{0}}}\text{C , CuBr }$
Hence, (A) is the correct option.
Note:
Note that the preparation of aryl halide from diazonium salt is a good method and has many advantages. Aryl chlorides and bromides when obtained by direct halogenation of aromatic compounds give a mixture of products that are difficult to separate. However, in the diazonium salt replacement method, a pure single product is formed. This also provides a good synthetic route for the preparation of aryl iodides and fluorides which are not obtained by direct halogenation.
Recently Updated Pages
A man running at a speed 5 ms is viewed in the side class 12 physics CBSE

State and explain Hardy Weinbergs Principle class 12 biology CBSE

Which of the following statements is wrong a Amnion class 12 biology CBSE

Two Planoconcave lenses 1 and 2 of glass of refractive class 12 physics CBSE

The compound 2 methyl 2 butene on reaction with NaIO4 class 12 chemistry CBSE

Bacterial cell wall is made up of A Cellulose B Hemicellulose class 12 biology CBSE

Trending doubts
Explain sex determination in humans with line diag class 12 biology CBSE

The pH of the pancreatic juice is A 64 B 86 C 120 D class 12 biology CBSE

Which prominent US inventor was known as the Wizard class 12 social science CBSE

Which state in India is known as the Granary of India class 12 social science CBSE

Draw a ray diagram of compound microscope when the class 12 physics CBSE

When was the first election held in India a 194748 class 12 sst CBSE

