
Which of the following primary amine is not prepared by Gabriel phthalimide synthesis:
A.\[C{H_3} - C{H_2} - N{H_2}\]
B.\[C{H_3} - N{H_2}\]
C.\[Ph - N{H_2}\]
D.\[Ph - C{H_2} - N{H_2}\]
Answer
498.9k+ views
Hint: The Gabriel synthesis is a chemical reaction that transforms primary alkyl halides into primary amines. Traditionally, the reaction uses potassium phthalimide and, therefore, is also called Gabriel phthalimide synthesis. It uses a nucleophilic substitution reaction to form primary amines from alkyl halide.
Complete answer:
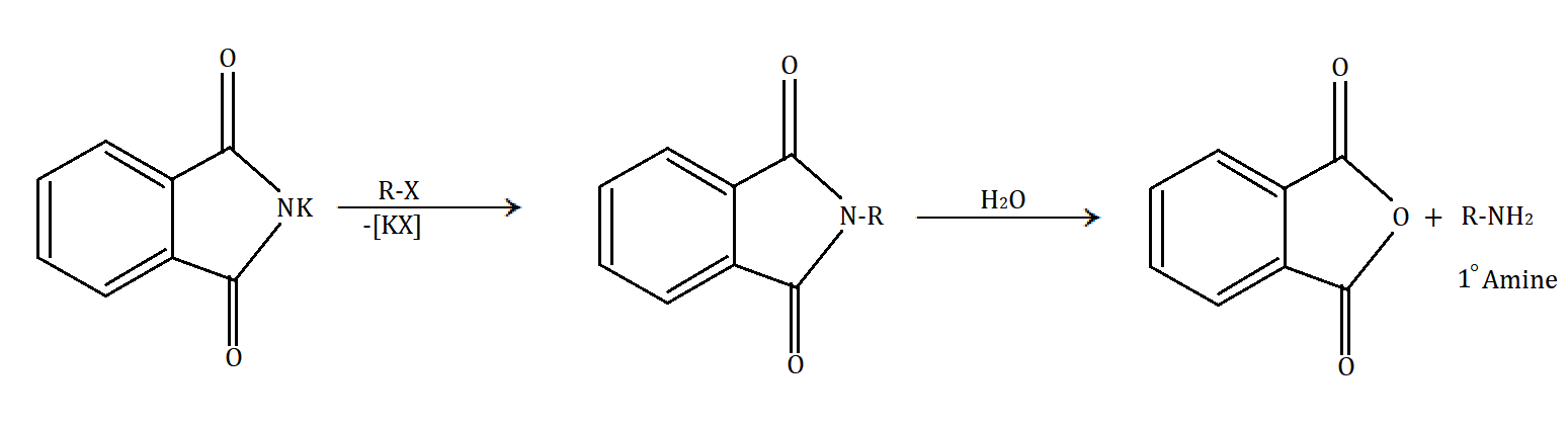
In Gabriel phthalimide synthesis, a base abstract proton from phthalimide gives a nucleophile phthalimide ion which attacks on the unhindered primary alkyl halide. The base hydrolysis of alkylated phthalimide gives the primary unhindered amine and phthalimide ion. Phthalimide ion itself is a bulky ion, so it prefers attack on hindered alkyl halide.
Gabriel phthalimide synthesis can be understood through the following mechanism:
In the given options, \[C{H_3} - C{H_2} - N{H_2}\] (ethyl amine), \[C{H_3} - N{H_2}\] (methyl amine) and \[Ph - C{H_2} - N{H_2}\] (\[1 - \]phenyl methanamine) are the compounds which can be prepared by Gabriel phthalimide synthesis. Ethylamine and methylamine are simple aliphatic compounds. While in \[1 - \]phenyl methanamine, the amine part is at the methyl part and phenyl is acting as a functional group and hence should be considered an aliphatic amine.
Hence, \[Ph - N{H_2}\] (aniline) is the only compound that cannot be prepared by Gabriel phthalimide synthesis.
Therefore, the correct option is C.
Note:
Gabriel phthalimide synthesis is only used for primary amines as steric hindrances do not allow the reaction for secondary and tertiary aliphatic amines. It is also not applicable for \[1^\circ \] aromatic compounds, aryl halide does not undergo nucleophilic substitution reaction. Aromatic compounds usually show electrophilic substitution reactions. Nucleophilic substitution destabilizes the resonance of aromatic compounds.
Complete answer:
In Gabriel phthalimide synthesis, a base abstract proton from phthalimide gives a nucleophile phthalimide ion which attacks on the unhindered primary alkyl halide. The base hydrolysis of alkylated phthalimide gives the primary unhindered amine and phthalimide ion. Phthalimide ion itself is a bulky ion, so it prefers attack on hindered alkyl halide.
Gabriel phthalimide synthesis can be understood through the following mechanism:
In the given options, \[C{H_3} - C{H_2} - N{H_2}\] (ethyl amine), \[C{H_3} - N{H_2}\] (methyl amine) and \[Ph - C{H_2} - N{H_2}\] (\[1 - \]phenyl methanamine) are the compounds which can be prepared by Gabriel phthalimide synthesis. Ethylamine and methylamine are simple aliphatic compounds. While in \[1 - \]phenyl methanamine, the amine part is at the methyl part and phenyl is acting as a functional group and hence should be considered an aliphatic amine.
Hence, \[Ph - N{H_2}\] (aniline) is the only compound that cannot be prepared by Gabriel phthalimide synthesis.
Therefore, the correct option is C.
Note:
Gabriel phthalimide synthesis is only used for primary amines as steric hindrances do not allow the reaction for secondary and tertiary aliphatic amines. It is also not applicable for \[1^\circ \] aromatic compounds, aryl halide does not undergo nucleophilic substitution reaction. Aromatic compounds usually show electrophilic substitution reactions. Nucleophilic substitution destabilizes the resonance of aromatic compounds.
Recently Updated Pages
A man running at a speed 5 ms is viewed in the side class 12 physics CBSE

State and explain Hardy Weinbergs Principle class 12 biology CBSE

Which of the following statements is wrong a Amnion class 12 biology CBSE

Two Planoconcave lenses 1 and 2 of glass of refractive class 12 physics CBSE

The compound 2 methyl 2 butene on reaction with NaIO4 class 12 chemistry CBSE

Bacterial cell wall is made up of A Cellulose B Hemicellulose class 12 biology CBSE

Trending doubts
What are the major means of transport Explain each class 12 social science CBSE

Which are the Top 10 Largest Countries of the World?

Draw a labelled sketch of the human eye class 12 physics CBSE

Explain sex determination in humans with line diag class 12 biology CBSE

The pH of the pancreatic juice is A 64 B 86 C 120 D class 12 biology CBSE

Give 10 examples of unisexual and bisexual flowers

