
Which of the following has the most acidic hydrogen?
A. 3-Hexanone
B. 2,4-Hexanedione
C. 2,5-Hexanedione
D. 2,3-Hexanedione
Answer
516.6k+ views
Hint: Acids are those compounds which have a tendency to donate a proton i.e. hydrogen ion to any substance. Acids basically turn blue litmus paper to red and have a sour taste. The most common acid is citric acid present in lemon.
Complete answer:
Acidic hydrogen can be defined as an acid which ${{H}^{+}}$has tendency to be released ${{H}^{+}}$ion. So we can say that if any hydrogen atom is attached to another atom or group of atoms with higher electronegativity than that hydrogen atom is known as a potential acidic hydrogen atom.
Rather than this there are many other factors on which acidic hydrogen depends i.e. electromeric effect, inductive effect, resonance effect, hyperconjugation etc. Given examples can be defined on the basis of resonance effect. Whereas resonance effect is generally studied in organic chemistry which describes the change in the behavior of electrons when the elements other than that of the carbon atoms and hydrogen takes part in the formation of molecular bonds.
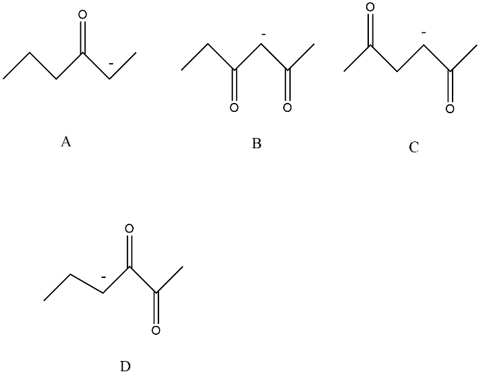
Resonance effects increase the strength of an acid. The most acidic hydrogen is present in option B this can be explained by the following figure
Since anion 2,4-Hexanedione option B is resonance stabilized by two carbonyl groups whereas other compounds A, C and D are in conjugation with only one carbonyl compound.
Thus we can say that option B has the most acidic hydrogen.
Note:
Resonance describes the delocalized electrons within the certain molecules where one single lewis structure does not express the bonds. An ion or molecule with these delocalized electrons can be represented by a number of structures which are called resonance structures.
Complete answer:
Acidic hydrogen can be defined as an acid which ${{H}^{+}}$has tendency to be released ${{H}^{+}}$ion. So we can say that if any hydrogen atom is attached to another atom or group of atoms with higher electronegativity than that hydrogen atom is known as a potential acidic hydrogen atom.
Rather than this there are many other factors on which acidic hydrogen depends i.e. electromeric effect, inductive effect, resonance effect, hyperconjugation etc. Given examples can be defined on the basis of resonance effect. Whereas resonance effect is generally studied in organic chemistry which describes the change in the behavior of electrons when the elements other than that of the carbon atoms and hydrogen takes part in the formation of molecular bonds.
Resonance effects increase the strength of an acid. The most acidic hydrogen is present in option B this can be explained by the following figure
Since anion 2,4-Hexanedione option B is resonance stabilized by two carbonyl groups whereas other compounds A, C and D are in conjugation with only one carbonyl compound.
Thus we can say that option B has the most acidic hydrogen.
Note:
Resonance describes the delocalized electrons within the certain molecules where one single lewis structure does not express the bonds. An ion or molecule with these delocalized electrons can be represented by a number of structures which are called resonance structures.
Recently Updated Pages
Why are manures considered better than fertilizers class 11 biology CBSE

Find the coordinates of the midpoint of the line segment class 11 maths CBSE

Distinguish between static friction limiting friction class 11 physics CBSE

The Chairman of the constituent Assembly was A Jawaharlal class 11 social science CBSE

The first National Commission on Labour NCL submitted class 11 social science CBSE

Number of all subshell of n + l 7 is A 4 B 5 C 6 D class 11 chemistry CBSE

Trending doubts
What is meant by exothermic and endothermic reactions class 11 chemistry CBSE

10 examples of friction in our daily life

One Metric ton is equal to kg A 10000 B 1000 C 100 class 11 physics CBSE

1 Quintal is equal to a 110 kg b 10 kg c 100kg d 1000 class 11 physics CBSE

Difference Between Prokaryotic Cells and Eukaryotic Cells

What are Quantum numbers Explain the quantum number class 11 chemistry CBSE

