
Which form of sugar is present in sugarcane?
Answer
558.9k+ views
Hint: Here, sugar, as well as molasses, is produced from sugarcane, the latter of which is twice sweeter than sugar. So, sugarcane glucose is not the alone product that is obtained.
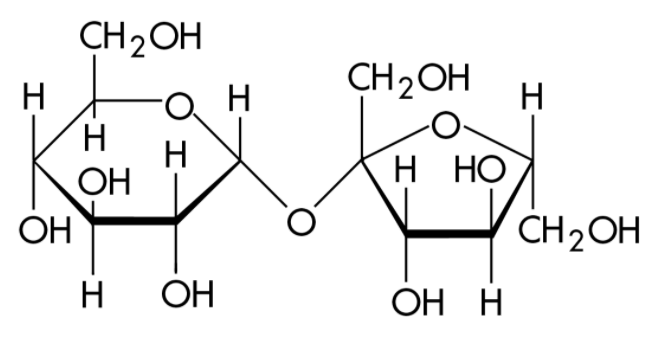
Complete answer: Sugarcane is twice as sweeter as glucose alone. Molasses is also produced from sugarcane, which is twice sweeter than sugar. So, glucose and fructose both are formed from extracts obtained from sugarcane. A molecule of sucrose is formed by the combination of a molecule of glucose with a molecule of fructose. Thus, sucrose is the form of sugar present in sugarcane. Sucrose is a common sugar obtained from plants like sugarcane, beetroot, palm, etc. It is a disaccharide, a molecule composed of two monosaccharides: glucose and fructose. In a sucrose unit, the monomer of glucose is linked with the monomer of fructose with either bond between C1 on the subunit “glucosyl” with the C2 on the subunit of the “fructosyl”. So, there is a glycosidic linkage between C1 on the subunit glucosyl with the C2 on the subunit of the fructosyl. It is a non-reducing sugar as no anomeric hydroxyl groups are present.
Therefore, sucrose is the form of sugar, a combination of a molecule of glucose with a molecule of fructose, which is present in sugarcane.
Note: The sugarcane is sweeter than glucose or sugar. So, sucrose is a disaccharide, a molecule composed of two monosaccharides: glucose and fructose. Sucrose is a common sugar that is obtained first from the plants like sugarcane, beetroot, palm, etc. then it is converted to glucose and fructose.
Complete answer: Sugarcane is twice as sweeter as glucose alone. Molasses is also produced from sugarcane, which is twice sweeter than sugar. So, glucose and fructose both are formed from extracts obtained from sugarcane. A molecule of sucrose is formed by the combination of a molecule of glucose with a molecule of fructose. Thus, sucrose is the form of sugar present in sugarcane. Sucrose is a common sugar obtained from plants like sugarcane, beetroot, palm, etc. It is a disaccharide, a molecule composed of two monosaccharides: glucose and fructose. In a sucrose unit, the monomer of glucose is linked with the monomer of fructose with either bond between C1 on the subunit “glucosyl” with the C2 on the subunit of the “fructosyl”. So, there is a glycosidic linkage between C1 on the subunit glucosyl with the C2 on the subunit of the fructosyl. It is a non-reducing sugar as no anomeric hydroxyl groups are present.
Therefore, sucrose is the form of sugar, a combination of a molecule of glucose with a molecule of fructose, which is present in sugarcane.
Note: The sugarcane is sweeter than glucose or sugar. So, sucrose is a disaccharide, a molecule composed of two monosaccharides: glucose and fructose. Sucrose is a common sugar that is obtained first from the plants like sugarcane, beetroot, palm, etc. then it is converted to glucose and fructose.
Recently Updated Pages
Why are manures considered better than fertilizers class 11 biology CBSE

Find the coordinates of the midpoint of the line segment class 11 maths CBSE

Distinguish between static friction limiting friction class 11 physics CBSE

The Chairman of the constituent Assembly was A Jawaharlal class 11 social science CBSE

The first National Commission on Labour NCL submitted class 11 social science CBSE

Number of all subshell of n + l 7 is A 4 B 5 C 6 D class 11 chemistry CBSE

Trending doubts
Differentiate between an exothermic and an endothermic class 11 chemistry CBSE

10 examples of friction in our daily life

One Metric ton is equal to kg A 10000 B 1000 C 100 class 11 physics CBSE

Difference Between Prokaryotic Cells and Eukaryotic Cells

1 Quintal is equal to a 110 kg b 10 kg c 100kg d 1000 class 11 physics CBSE

State the laws of reflection of light

