
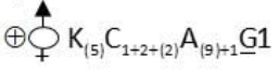
This is the floral formula of
A. Asteraceae
B. Brassicaceae
C. Fabaceae
D. Solanaceae
Answer
579.6k+ views
Hint: Floral formula – (i) It represents a flower’s structure by using specific symbols, letters and numbers. It is the simple way to present salient features of a flower.
(ii) It depicts the interrelationship between different floral parts which are corolla, calyx, androecium and gynoecium, it also provides information about the type of flower, its symmetry, type of ovary, fusion etc.
Complete Answer:
A) (i) Floral diagram helps in making up the floral formula.
(ii) Floral diagram is a diagrammatic representation of the pooled up information from transverse sections of the flower bud in relation to the mother axis.
(iii) The floral formula of the solanaceae family is
Examples of solanaceae are: Solanum tuberosum (Potato), Lycopersicon esculentum (Tomato), Solanum melongena (Brinjal), Capsicum annum (Chillies)
Family Description:
- Inflorescence: Salutary, ancillary or cymose.
- Flower: Bisexual, actinomorphic.
- Calyn: Sepals five, united, persistent and valvate aestivation.
- Corolla: Petals five, united, valvate aestivation.
- Androecium: Stamens five, epipetalous.
- Gynoecium: Bicarpellary, Syncarpous, ovary superior, bilocular swollen placenta with many ovules.
- Fruits: Berry or capsule.
- Seeds: Many, endospermous
B) Asteraceae: The floral formula is
Example: Sunflower
C) Brassicaceae: The floral formula is
Example: Mustard
D) Fabaceae: The floral formula is
Example: Pea
Note:
1) Asteraceae: (i) Calyx is rudimentary or absent and called as pappus.
(ii) Fruit of Araceae is known as achenes or cypsela.
2) Brassicaceae: Brassicaceae or curcifireae family flowers are actinomorphic, bisexual, sepals are 4 and are dimerous i.e. arranged in two whorls, petals 4 and arranged in single whorl, stamens are 6 and are tetradynamons (two lateral stamens are smaller and four median are larger, carpels are 2 i.e. bicarpellary, syncarphons, ovary superior.
3) Fabaceae have five sepals (fused), five petals (upper posterior petal or the venillum, two lateral free petals or wings, and two anterior petals or the keel. Stamens are ten, superior ovaries.
(ii) It depicts the interrelationship between different floral parts which are corolla, calyx, androecium and gynoecium, it also provides information about the type of flower, its symmetry, type of ovary, fusion etc.
Complete Answer:
A) (i) Floral diagram helps in making up the floral formula.
(ii) Floral diagram is a diagrammatic representation of the pooled up information from transverse sections of the flower bud in relation to the mother axis.
(iii) The floral formula of the solanaceae family is
Examples of solanaceae are: Solanum tuberosum (Potato), Lycopersicon esculentum (Tomato), Solanum melongena (Brinjal), Capsicum annum (Chillies)
Family Description:
- Inflorescence: Salutary, ancillary or cymose.
- Flower: Bisexual, actinomorphic.
- Calyn: Sepals five, united, persistent and valvate aestivation.
- Corolla: Petals five, united, valvate aestivation.
- Androecium: Stamens five, epipetalous.
- Gynoecium: Bicarpellary, Syncarpous, ovary superior, bilocular swollen placenta with many ovules.
- Fruits: Berry or capsule.
- Seeds: Many, endospermous
B) Asteraceae: The floral formula is
Example: Sunflower
C) Brassicaceae: The floral formula is
Example: Mustard
D) Fabaceae: The floral formula is
Example: Pea
Note:
1) Asteraceae: (i) Calyx is rudimentary or absent and called as pappus.
(ii) Fruit of Araceae is known as achenes or cypsela.
2) Brassicaceae: Brassicaceae or curcifireae family flowers are actinomorphic, bisexual, sepals are 4 and are dimerous i.e. arranged in two whorls, petals 4 and arranged in single whorl, stamens are 6 and are tetradynamons (two lateral stamens are smaller and four median are larger, carpels are 2 i.e. bicarpellary, syncarphons, ovary superior.
3) Fabaceae have five sepals (fused), five petals (upper posterior petal or the venillum, two lateral free petals or wings, and two anterior petals or the keel. Stamens are ten, superior ovaries.
Recently Updated Pages
Why are manures considered better than fertilizers class 11 biology CBSE

Find the coordinates of the midpoint of the line segment class 11 maths CBSE

Distinguish between static friction limiting friction class 11 physics CBSE

The Chairman of the constituent Assembly was A Jawaharlal class 11 social science CBSE

The first National Commission on Labour NCL submitted class 11 social science CBSE

Number of all subshell of n + l 7 is A 4 B 5 C 6 D class 11 chemistry CBSE

Trending doubts
Differentiate between an exothermic and an endothermic class 11 chemistry CBSE

10 examples of friction in our daily life

One Metric ton is equal to kg A 10000 B 1000 C 100 class 11 physics CBSE

Difference Between Prokaryotic Cells and Eukaryotic Cells

1 Quintal is equal to a 110 kg b 10 kg c 100kg d 1000 class 11 physics CBSE

State the laws of reflection of light

