
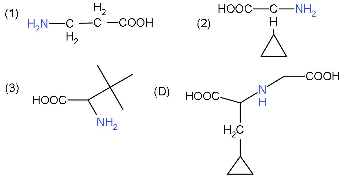
The total number of distinct naturally occurring amino acids obtained by complete acidic hydrolysis of the peptide shown above, is:
A. 1
B. 2
C. 3
D. 4
Answer
564.9k+ views
Hint: For this problem, we have to write the complete reaction of the acidic hydrolysis of the given compound that is a peptide. After which we will determine the product which is a naturally occurring amino acid.
Complete step by step answer:
- In the given question, we have to calculate the total number of naturally occurring amino acids when the peptide undergoes acidic hydrolysis.
- As we know that the amino acids are the organic molecules which consist of a base i.e. amine group, an acid i.e. carboxylic group and an alkyl group which is different in every amino acid.
- Also, when the amino acids combine they form a long chain which is known as protein.
- Now, when the given compound will undergo the acidic hydrolysis it gives us four types of amino acids as shown below:
- Now, here the first compound formed is known as glycine where along with the amine group and carboxylic acid group, hydrogen is present as a side chain.
- It is the only amino acid among the formed groups which is found naturally in the environment.
- Whereas the other amino acids formed are not considered as the naturally occurring amino acids but they can be synthesised artificially.
- It is commonly observed that the naturally occurring amino acids are proteinogenic in nature whereas artificial amino acids are not proteinogenic.
So, the correct answer is “Option A”.
Note: The natural source of glycine in the form of the food includes meat, fish, legumes and dairy products. Glycine is very important for the human body because the deficiency of the glycine can cause some mutational disease and affects the body adversely.
Complete step by step answer:
- In the given question, we have to calculate the total number of naturally occurring amino acids when the peptide undergoes acidic hydrolysis.
- As we know that the amino acids are the organic molecules which consist of a base i.e. amine group, an acid i.e. carboxylic group and an alkyl group which is different in every amino acid.
- Also, when the amino acids combine they form a long chain which is known as protein.
- Now, when the given compound will undergo the acidic hydrolysis it gives us four types of amino acids as shown below:
- Now, here the first compound formed is known as glycine where along with the amine group and carboxylic acid group, hydrogen is present as a side chain.
- It is the only amino acid among the formed groups which is found naturally in the environment.
- Whereas the other amino acids formed are not considered as the naturally occurring amino acids but they can be synthesised artificially.
- It is commonly observed that the naturally occurring amino acids are proteinogenic in nature whereas artificial amino acids are not proteinogenic.
So, the correct answer is “Option A”.
Note: The natural source of glycine in the form of the food includes meat, fish, legumes and dairy products. Glycine is very important for the human body because the deficiency of the glycine can cause some mutational disease and affects the body adversely.
Recently Updated Pages
A man running at a speed 5 ms is viewed in the side class 12 physics CBSE

The number of solutions in x in 02pi for which sqrt class 12 maths CBSE

State and explain Hardy Weinbergs Principle class 12 biology CBSE

Write any two methods of preparation of phenol Give class 12 chemistry CBSE

Which of the following statements is wrong a Amnion class 12 biology CBSE

Differentiate between action potential and resting class 12 biology CBSE

Trending doubts
What are the major means of transport Explain each class 12 social science CBSE

Which are the Top 10 Largest Countries of the World?

Draw a labelled sketch of the human eye class 12 physics CBSE

How much time does it take to bleed after eating p class 12 biology CBSE

Explain sex determination in humans with line diag class 12 biology CBSE

Explain sex determination in humans with the help of class 12 biology CBSE

