
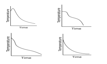
The temperature time variation graphs as obtained by four students A, B, C and D are as shown. The graph, likely to be correct is that of student
Answer
560.7k+ views
Hint:The graph between temperature and time can be explained by Newton’s law of cooling. When the temperature difference between object and surrounding is high then rate of heat loss is high.
Step by step solution:
According Newton’s law of cooling the rate at which a body loses heat by radiation depends on
-The temperature of the body
-The temperature of the surrounding medium
Newton’s law of cooling states that the rate of cooing (or heat loss) of body is directly proportional to temperature difference between the body and its surroundings
It can be expressed in mathematical form
Assume a hot body at temperature $T$ let ${T_0}$ be the temperature of its surroundings according to Newton’s law of cooling
Rate of loss of heat $ \propto $ Temperature difference between the body and its surroundings
$ \Rightarrow - \dfrac{{dQ}}{{dt}} \propto \left( {T - {T_0}} \right)$
$ \Rightarrow - \dfrac{{dQ}}{{dt}} = k\left( {T - {T_0}} \right)$
Where k is proportionality constant depending upon the area and nature of the surface of the body
Let $m$ be the mass of body and $c$ is the specific heat
If the body falls by small amount $dT$ in time $dt$ then amount of heat loss is
$ \Rightarrow dQ = mcdt$
Rate of heat loss given by
$ \Rightarrow \dfrac{{dQ}}{{dt}} = mc\dfrac{{dT}}{{dt}}$
Combine both above equations
$ \Rightarrow - mc\dfrac{{dT}}{{dt}} = k\left( {T - {T_0}} \right)$
$ \Rightarrow \dfrac{{dT}}{{dt}} = - \dfrac{k}{{mc}}\left( {T - {T_0}} \right)$
This is the mathematical expression of Newton’s law of cooling
It is clear from the above equation that the rate of cooling is higher initially and then decreases as the temperature of the body falls. If we plot a graph between temperature and time
Hence option D is correct
Note:This is in accordance with Newton’s law of cooling that a hot water bucket cools fast initially until it gets lukewarm after which it stays so for a longer time.
Step by step solution:
According Newton’s law of cooling the rate at which a body loses heat by radiation depends on
-The temperature of the body
-The temperature of the surrounding medium
Newton’s law of cooling states that the rate of cooing (or heat loss) of body is directly proportional to temperature difference between the body and its surroundings
It can be expressed in mathematical form
Assume a hot body at temperature $T$ let ${T_0}$ be the temperature of its surroundings according to Newton’s law of cooling
Rate of loss of heat $ \propto $ Temperature difference between the body and its surroundings
$ \Rightarrow - \dfrac{{dQ}}{{dt}} \propto \left( {T - {T_0}} \right)$
$ \Rightarrow - \dfrac{{dQ}}{{dt}} = k\left( {T - {T_0}} \right)$
Where k is proportionality constant depending upon the area and nature of the surface of the body
Let $m$ be the mass of body and $c$ is the specific heat
If the body falls by small amount $dT$ in time $dt$ then amount of heat loss is
$ \Rightarrow dQ = mcdt$
Rate of heat loss given by
$ \Rightarrow \dfrac{{dQ}}{{dt}} = mc\dfrac{{dT}}{{dt}}$
Combine both above equations
$ \Rightarrow - mc\dfrac{{dT}}{{dt}} = k\left( {T - {T_0}} \right)$
$ \Rightarrow \dfrac{{dT}}{{dt}} = - \dfrac{k}{{mc}}\left( {T - {T_0}} \right)$
This is the mathematical expression of Newton’s law of cooling
It is clear from the above equation that the rate of cooling is higher initially and then decreases as the temperature of the body falls. If we plot a graph between temperature and time
Hence option D is correct
Note:This is in accordance with Newton’s law of cooling that a hot water bucket cools fast initially until it gets lukewarm after which it stays so for a longer time.
Recently Updated Pages
Master Class 12 Business Studies: Engaging Questions & Answers for Success

Master Class 12 Economics: Engaging Questions & Answers for Success

Master Class 12 English: Engaging Questions & Answers for Success

Master Class 12 Maths: Engaging Questions & Answers for Success

Master Class 12 Social Science: Engaging Questions & Answers for Success

Master Class 12 Chemistry: Engaging Questions & Answers for Success

Trending doubts
What is meant by exothermic and endothermic reactions class 11 chemistry CBSE

Which animal has three hearts class 11 biology CBSE

10 examples of friction in our daily life

One Metric ton is equal to kg A 10000 B 1000 C 100 class 11 physics CBSE

1 Quintal is equal to a 110 kg b 10 kg c 100kg d 1000 class 11 physics CBSE

Difference Between Prokaryotic Cells and Eukaryotic Cells

