
The square planar shape is ____.
(A) $sp$
(B) $ds{{p}^{3}}$
(C) $ds{{p}^{2}}$
(D) $s{{p}^{3}}$
Answer
555.6k+ views
Hint: An attempt to this question can be made by determining the postulates of valence bond theory. With this you can understand hybridisation of a complex. Try to draw the structure of the compounds having the respective hybridisation in the options. Based on that you can determine the hybridisation having square planar geometry.
Complete step by step answer:
The hybridization of atomic orbitals give rise to hybrid orbitals that are responsible for the formation of molecules. These hybrid orbitals have characteristic geometry from their time of formation. But there are some factors that can influence the geometry and therefore change the overall shape of molecules. Some of these factors are, number and position of lone pairs, type of substituent attached to the central atom etc.
Square planar is one of the shapes that represent a specific hybridisation of the atoms. It is a planar structure, which contains one central atom bonded to 4 substituents. The hybridization that is required for this shape is $ds{{p}^{2}}$. As you can see, it is an inner orbital complex. Let us know more about this.
It is a fact that the energy of 3d-orbitals is either similar to 3s and 3p or 4s and 4p. This makes the d-orbitals hybridize with both the groups. If they hybridize with the former group, they form inner orbital complexes, as the principal quantum number is the same for all the orbitals involved. The hybridization of 3d orbitals with 4s and 4p orbitals is termed as outer orbital complexes, as the principal quantum number of the orbitals except the d-orbitals is one unit higher.
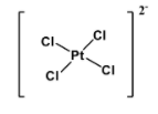
Chemical compounds which exhibit this type of molecular geometry are- ${{\left[ Ni{{\left( CN \right)}_{4}} \right]}^{2-}}$ and ${{\left[ Pt{{\left( Cl \right)}_{4}} \right]}^{2-}}$. Structure of the latter is as below:
So the answer is option C.
Note: Square planar shape is also possible if the hybridization of the central atom is $s{{p}^{3}}{{d}^{2}}$ with two lone pairs at the axial positions. As for example, the molecule $Xe{{F}_{4}}$exhibits a square planar shape and has two lone pairs.
Complete step by step answer:
The hybridization of atomic orbitals give rise to hybrid orbitals that are responsible for the formation of molecules. These hybrid orbitals have characteristic geometry from their time of formation. But there are some factors that can influence the geometry and therefore change the overall shape of molecules. Some of these factors are, number and position of lone pairs, type of substituent attached to the central atom etc.
Square planar is one of the shapes that represent a specific hybridisation of the atoms. It is a planar structure, which contains one central atom bonded to 4 substituents. The hybridization that is required for this shape is $ds{{p}^{2}}$. As you can see, it is an inner orbital complex. Let us know more about this.
It is a fact that the energy of 3d-orbitals is either similar to 3s and 3p or 4s and 4p. This makes the d-orbitals hybridize with both the groups. If they hybridize with the former group, they form inner orbital complexes, as the principal quantum number is the same for all the orbitals involved. The hybridization of 3d orbitals with 4s and 4p orbitals is termed as outer orbital complexes, as the principal quantum number of the orbitals except the d-orbitals is one unit higher.
Chemical compounds which exhibit this type of molecular geometry are- ${{\left[ Ni{{\left( CN \right)}_{4}} \right]}^{2-}}$ and ${{\left[ Pt{{\left( Cl \right)}_{4}} \right]}^{2-}}$. Structure of the latter is as below:
So the answer is option C.
Note: Square planar shape is also possible if the hybridization of the central atom is $s{{p}^{3}}{{d}^{2}}$ with two lone pairs at the axial positions. As for example, the molecule $Xe{{F}_{4}}$exhibits a square planar shape and has two lone pairs.
Recently Updated Pages
Why are manures considered better than fertilizers class 11 biology CBSE

Find the coordinates of the midpoint of the line segment class 11 maths CBSE

Distinguish between static friction limiting friction class 11 physics CBSE

The Chairman of the constituent Assembly was A Jawaharlal class 11 social science CBSE

The first National Commission on Labour NCL submitted class 11 social science CBSE

Number of all subshell of n + l 7 is A 4 B 5 C 6 D class 11 chemistry CBSE

Trending doubts
What is meant by exothermic and endothermic reactions class 11 chemistry CBSE

10 examples of friction in our daily life

One Metric ton is equal to kg A 10000 B 1000 C 100 class 11 physics CBSE

1 Quintal is equal to a 110 kg b 10 kg c 100kg d 1000 class 11 physics CBSE

Difference Between Prokaryotic Cells and Eukaryotic Cells

What are Quantum numbers Explain the quantum number class 11 chemistry CBSE

