
The remainder when \[{x^2} + 2x + 1\] is divided by \[\left( {x + 1} \right)\] is
A) 4
B) 0
C) 1
D) \[ - 2\]
Answer
576k+ views
Hint:
Here, we will use the remainder theorem, which tells us that when we divide a polynomial \[f\left( x \right)\] by \[x - c\], the remainder is \[f\left( c \right)\]. We will rewrite the given divisor and then compare the equation \[x - c\] and the obtained divisor to find the value of \[c\]. Then substitute the value of \[c\] in the given polynomial \[f\left( x \right)\] to find the required value.
Complete step by step solution:
We are given that the polynomial is \[{x^2} + 2x + 1\] is divided by \[\left( {x + 1} \right)\].
Let us assume that \[f\left( x \right) = {x^2} + 2x + 1\].
We know that in the remainder theorem, when we divide a polynomial \[f\left( x \right)\] by \[x - c\], the remainder is \[f\left( c \right)\].
Rewriting the given divisor \[\left( {x + 1} \right)\], we get
\[ \Rightarrow x - \left( { - 1} \right)\]
We will first find the value of \[c\] by comparing the equation \[x - c\] and the above divisor, we get
\[ \Rightarrow c = - 1\]
Substituting the value of \[c\] in the given polynomial \[f\left( x \right)\], we get
\[
\Rightarrow f\left( { - 1} \right) = {\left( { - 1} \right)^2} + 2\left( { - 1} \right) + 1 \\
\Rightarrow f\left( { - 1} \right) = 1 - 2 + 1 \\
\Rightarrow f\left( { - 1} \right) = 0 \\
\]
Thus, the remainder is 0.
Hence, option B is correct.
Note:
In solving these types of questions, students should be careful while calculations. We can also find the remainder by using the division algorithm method, by dividing the first term of the quotient with the highest term of the dividend, which is really time-consuming and is used when asked in the question. Since in the question we are asked to find the remainder, so students are advised to solve this question using the remainder theorem.
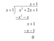
Dividing the \[{x^2} + 2x + 1\] by \[\left( {x + 1} \right)\] using the long division method, we get
Thus, the remainder is 0.
Here, we will use the remainder theorem, which tells us that when we divide a polynomial \[f\left( x \right)\] by \[x - c\], the remainder is \[f\left( c \right)\]. We will rewrite the given divisor and then compare the equation \[x - c\] and the obtained divisor to find the value of \[c\]. Then substitute the value of \[c\] in the given polynomial \[f\left( x \right)\] to find the required value.
Complete step by step solution:
We are given that the polynomial is \[{x^2} + 2x + 1\] is divided by \[\left( {x + 1} \right)\].
Let us assume that \[f\left( x \right) = {x^2} + 2x + 1\].
We know that in the remainder theorem, when we divide a polynomial \[f\left( x \right)\] by \[x - c\], the remainder is \[f\left( c \right)\].
Rewriting the given divisor \[\left( {x + 1} \right)\], we get
\[ \Rightarrow x - \left( { - 1} \right)\]
We will first find the value of \[c\] by comparing the equation \[x - c\] and the above divisor, we get
\[ \Rightarrow c = - 1\]
Substituting the value of \[c\] in the given polynomial \[f\left( x \right)\], we get
\[
\Rightarrow f\left( { - 1} \right) = {\left( { - 1} \right)^2} + 2\left( { - 1} \right) + 1 \\
\Rightarrow f\left( { - 1} \right) = 1 - 2 + 1 \\
\Rightarrow f\left( { - 1} \right) = 0 \\
\]
Thus, the remainder is 0.
Hence, option B is correct.
Note:
In solving these types of questions, students should be careful while calculations. We can also find the remainder by using the division algorithm method, by dividing the first term of the quotient with the highest term of the dividend, which is really time-consuming and is used when asked in the question. Since in the question we are asked to find the remainder, so students are advised to solve this question using the remainder theorem.
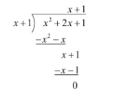
Dividing the \[{x^2} + 2x + 1\] by \[\left( {x + 1} \right)\] using the long division method, we get
Thus, the remainder is 0.
Recently Updated Pages
Two men on either side of the cliff 90m height observe class 10 maths CBSE

What happens to glucose which enters nephron along class 10 biology CBSE

Cutting of the Chinese melon means A The business and class 10 social science CBSE

Write a dialogue with at least ten utterances between class 10 english CBSE

Show an aquatic food chain using the following organisms class 10 biology CBSE

A circle is inscribed in an equilateral triangle and class 10 maths CBSE

Trending doubts
The shortest day of the year in India

Why is there a time difference of about 5 hours between class 10 social science CBSE

Write a letter to the principal requesting him to grant class 10 english CBSE

What is the median of the first 10 natural numbers class 10 maths CBSE

The Equation xxx + 2 is Satisfied when x is Equal to Class 10 Maths

What is the missing number in the sequence 259142027 class 10 maths CBSE

