
The order of multiple roots of 2 of the equation ${{x}^{4}}-5{{x}^{3}}+6{{x}^{2}}+4x-8=0$ is
[a] 1
[b] 2
[c] 3
[d] 4
Answer
589.2k+ views
Hint: Use the fact that if the multiplicity of a root x= a is r in the polynomial p(x), then there exists a polynomial g(x) such that $p\left( x \right)={{\left( x-a \right)}^{r}}g\left( x \right)$ and $g\left( a \right)\ne 0$. Use factor theorem to check that if x-2 is a factor of $p\left( x \right)={{x}^{4}}-5{{x}^{3}}+6{{x}^{2}}+4x-8$. If yes, then write $p\left( x \right)=\left( x-2 \right)g\left( x \right)$ using the long-division method. Apply the same process on g(x). Continue till g(x) is no more divisible by x-2. Hence find the order of the root 2 in the equation ${{x}^{4}}-5{{x}^{3}}+6{{x}^{2}}+4x-8=0$
Complete step-by-step answer:
Let $p\left( x \right)={{x}^{4}}-5{{x}^{3}}+6{{x}^{2}}+4x-8$
Now, we have
$p\left( 2 \right)={{2}^{4}}-5\times {{2}^{3}}+6\times {{2}^{2}}+4\times 2-8=16-40+24+8-8=0$
Hence by factor theorem, x-2 is a factor of p(x).
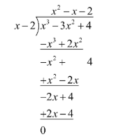
Dividing p(x) by x-2 using long-division method shown as follows:
Hence, we have
$p\left( x \right)=\left( x-2 \right)\left( {{x}^{3}}-3{{x}^{2}}+4 \right)$
Now, we have $g\left( x \right)={{x}^{3}}-3{{x}^{2}}+4$
Now, we have
$g\left( 2 \right)={{2}^{3}}-3\times {{2}^{2}}+4=8-12+4=0$
Hence by factor theorem, x-2 is a factor of g(x).
Hence, we have
Hence, we have
$\begin{align}
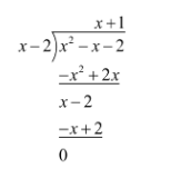
& g\left( x \right)=\left( x-2 \right)\left( {{x}^{2}}-x-2 \right) \\
& \Rightarrow p\left( x \right)={{\left( x-2 \right)}^{2}}\left( {{x}^{2}}-x-2 \right) \\
\end{align}$
Let $h\left( x \right)={{x}^{2}}-x-2$
Hence, we have
$h\left( 2 \right)={{2}^{2}}-2-2=0$
Hence by factor theorem, x-2 is a factor of h(x)
Hence, we have
Hence, we have
$\begin{align}
& h\left( x \right)=\left( x-2 \right)\left( x+1 \right) \\
& \Rightarrow p\left( x \right)={{\left( x-2 \right)}^{3}}\left( x+1 \right) \\
\end{align}$
Let f(x) = x+1
Since $f\left( 2 \right)=1+2\ne 0$, we have
3 is the order of the root 2 of the equation ${{x}^{4}}-5{{x}^{3}}+6{{x}^{2}}+4x-8=0$
Hence option [c] is correct.
Note: Alternative solution: Best method:
We know that if r is the multiplicity of root x=a in the polynomial p(x), then $p\left( a \right),{{\left. \dfrac{d}{dx}p\left( x \right) \right|}_{x=a}},{{\left. \dfrac{{{d}^{2}}}{d{{x}^{2}}}p\left( x \right) \right|}_{x=a}},\cdots ,{{\left. \dfrac{{{d}^{r-1}}}{d{{x}^{r-1}}}p\left( x \right) \right|}_{x=r}}$ are all 0.
Now, we have
$p\left( x \right)={{x}^{4}}-5{{x}^{3}}+6{{x}^{2}}+4x-8$
Hence, we have
$p\left( 2 \right)={{2}^{4}}-5\times {{2}^{3}}+6\times {{2}^{2}}+4\,\times 2-8=16-40+24+8-8=0$
Now, we have
$\dfrac{d}{dx}p\left( x \right)=4{{x}^{3}}-15{{x}^{2}}+12x+4$
Hence, we have
${{\left. \dfrac{d}{dx}p\left( x \right) \right|}_{x=2}}=4\times {{2}^{3}}-15\times {{2}^{2}}+12\times 2+4=32-60+24+4=0$
Now, we have
$\dfrac{{{d}^{2}}}{d{{x}^{2}}}p\left( x \right)=12{{x}^{2}}-30x+12$
Hence, we have
${{\left. \dfrac{{{d}^{2}}}{d{{x}^{2}}}p\left( x \right) \right|}_{x=2}}=12\times {{2}^{2}}-30\times 2+12=48-60+12=0$
Now, we have
$\dfrac{{{d}^{3}}}{d{{x}^{3}}}p\left( x \right)=24x-30$
Hence, we have
${{\left. \dfrac{{{d}^{3}}}{d{{x}^{3}}}p\left( x \right) \right|}_{x=2}}=24\times 2-30=48-30=18\ne 0$
Hence, the multiplicity of the root x= 2 in p(x) is 2+1 =3.
Hence option [c] is correct.
Complete step-by-step answer:
Let $p\left( x \right)={{x}^{4}}-5{{x}^{3}}+6{{x}^{2}}+4x-8$
Now, we have
$p\left( 2 \right)={{2}^{4}}-5\times {{2}^{3}}+6\times {{2}^{2}}+4\times 2-8=16-40+24+8-8=0$
Hence by factor theorem, x-2 is a factor of p(x).
Dividing p(x) by x-2 using long-division method shown as follows:
Hence, we have
$p\left( x \right)=\left( x-2 \right)\left( {{x}^{3}}-3{{x}^{2}}+4 \right)$
Now, we have $g\left( x \right)={{x}^{3}}-3{{x}^{2}}+4$
Now, we have
$g\left( 2 \right)={{2}^{3}}-3\times {{2}^{2}}+4=8-12+4=0$
Hence by factor theorem, x-2 is a factor of g(x).
Hence, we have
Hence, we have
$\begin{align}
& g\left( x \right)=\left( x-2 \right)\left( {{x}^{2}}-x-2 \right) \\
& \Rightarrow p\left( x \right)={{\left( x-2 \right)}^{2}}\left( {{x}^{2}}-x-2 \right) \\
\end{align}$
Let $h\left( x \right)={{x}^{2}}-x-2$
Hence, we have
$h\left( 2 \right)={{2}^{2}}-2-2=0$
Hence by factor theorem, x-2 is a factor of h(x)
Hence, we have
Hence, we have
$\begin{align}
& h\left( x \right)=\left( x-2 \right)\left( x+1 \right) \\
& \Rightarrow p\left( x \right)={{\left( x-2 \right)}^{3}}\left( x+1 \right) \\
\end{align}$
Let f(x) = x+1
Since $f\left( 2 \right)=1+2\ne 0$, we have
3 is the order of the root 2 of the equation ${{x}^{4}}-5{{x}^{3}}+6{{x}^{2}}+4x-8=0$
Hence option [c] is correct.
Note: Alternative solution: Best method:
We know that if r is the multiplicity of root x=a in the polynomial p(x), then $p\left( a \right),{{\left. \dfrac{d}{dx}p\left( x \right) \right|}_{x=a}},{{\left. \dfrac{{{d}^{2}}}{d{{x}^{2}}}p\left( x \right) \right|}_{x=a}},\cdots ,{{\left. \dfrac{{{d}^{r-1}}}{d{{x}^{r-1}}}p\left( x \right) \right|}_{x=r}}$ are all 0.
Now, we have
$p\left( x \right)={{x}^{4}}-5{{x}^{3}}+6{{x}^{2}}+4x-8$
Hence, we have
$p\left( 2 \right)={{2}^{4}}-5\times {{2}^{3}}+6\times {{2}^{2}}+4\,\times 2-8=16-40+24+8-8=0$
Now, we have
$\dfrac{d}{dx}p\left( x \right)=4{{x}^{3}}-15{{x}^{2}}+12x+4$
Hence, we have
${{\left. \dfrac{d}{dx}p\left( x \right) \right|}_{x=2}}=4\times {{2}^{3}}-15\times {{2}^{2}}+12\times 2+4=32-60+24+4=0$
Now, we have
$\dfrac{{{d}^{2}}}{d{{x}^{2}}}p\left( x \right)=12{{x}^{2}}-30x+12$
Hence, we have
${{\left. \dfrac{{{d}^{2}}}{d{{x}^{2}}}p\left( x \right) \right|}_{x=2}}=12\times {{2}^{2}}-30\times 2+12=48-60+12=0$
Now, we have
$\dfrac{{{d}^{3}}}{d{{x}^{3}}}p\left( x \right)=24x-30$
Hence, we have
${{\left. \dfrac{{{d}^{3}}}{d{{x}^{3}}}p\left( x \right) \right|}_{x=2}}=24\times 2-30=48-30=18\ne 0$
Hence, the multiplicity of the root x= 2 in p(x) is 2+1 =3.
Hence option [c] is correct.
Recently Updated Pages
Two men on either side of the cliff 90m height observe class 10 maths CBSE

What happens to glucose which enters nephron along class 10 biology CBSE

Cutting of the Chinese melon means A The business and class 10 social science CBSE

Write a dialogue with at least ten utterances between class 10 english CBSE

Show an aquatic food chain using the following organisms class 10 biology CBSE

A circle is inscribed in an equilateral triangle and class 10 maths CBSE

Trending doubts
Why is there a time difference of about 5 hours between class 10 social science CBSE

Write a letter to the principal requesting him to grant class 10 english CBSE

What is the median of the first 10 natural numbers class 10 maths CBSE

The Equation xxx + 2 is Satisfied when x is Equal to Class 10 Maths

Which of the following does not have a fundamental class 10 physics CBSE

State and prove converse of BPT Basic Proportionality class 10 maths CBSE

