
The number of structural for \[{{\text{C}}_6}{{\text{H}}_{14}}\]
A.3
B.4
C.5
D.6
Answer
563.4k+ views
Hint:There are various types of structural isomerism. In the above molecule chain isomerism, position isomerism is contained in but functional group isomerism is not present in the above molecule. The given molecule is a saturated hydrocarbon.
Complete step by step answer:
Isomers are those molecules which have the same molecular formula but have different physical and chemical properties.Structural isomers are those having the same molecular formula but different properties due to different structures. They are classified as chain isomerism, position isomerism, functional group isomerism and linking isomerism.
Functional group isomerism is that structural isomerism which has the same molecular formula but different functional group chain isomerism by that structural isomerism which has the same molecular formula but different length of principal carbon. Chain position isomerism is that structural isomerism which has the same molecular formula but different position of functional groups or multiple bond or side substituents. Ring chain isomerism is that structural isomerism which has the same molecular formula but has either the multiple bonds or ring with respect to its isomer.
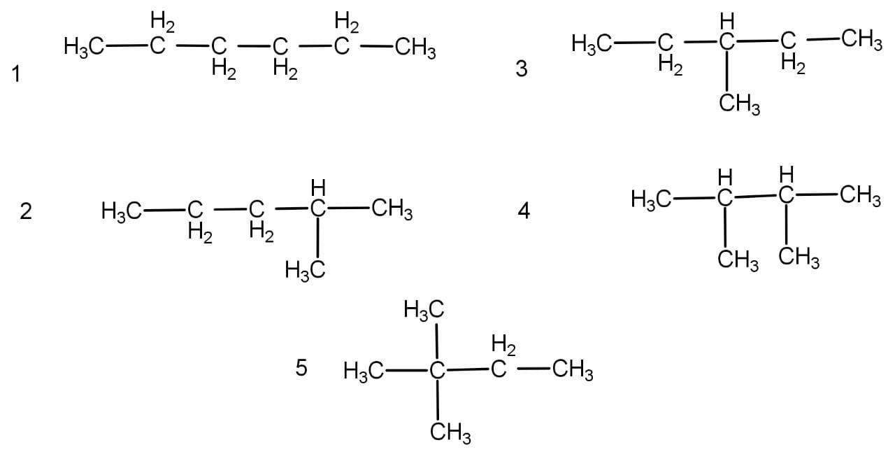
The given formula represents an alkane named as hexane representing the general formula \[{{\text{C}}_{\text{n}}}{{\text{H}}_{{\text{2n}} + 2}}\] . It does not have any functional group and hence cannot possess functional isomerism. The conditions are also not suitable for ring formation because it contains only single bonds and the number of hydrogen required in a ring will be 12 and not 14. The structural isomerism of are as follow:
Hence, the correct option is option C.
Note:
There are two types of isomerism: structural isomerism and stereoisomerism. Stereoisomerism is those isomers in which the molecules differ in the arrangement of atoms in space, i.e. 3D arrangement. They include R-S configuration, cis and trans isomers etc.
Complete step by step answer:
Isomers are those molecules which have the same molecular formula but have different physical and chemical properties.Structural isomers are those having the same molecular formula but different properties due to different structures. They are classified as chain isomerism, position isomerism, functional group isomerism and linking isomerism.
Functional group isomerism is that structural isomerism which has the same molecular formula but different functional group chain isomerism by that structural isomerism which has the same molecular formula but different length of principal carbon. Chain position isomerism is that structural isomerism which has the same molecular formula but different position of functional groups or multiple bond or side substituents. Ring chain isomerism is that structural isomerism which has the same molecular formula but has either the multiple bonds or ring with respect to its isomer.
The given formula represents an alkane named as hexane representing the general formula \[{{\text{C}}_{\text{n}}}{{\text{H}}_{{\text{2n}} + 2}}\] . It does not have any functional group and hence cannot possess functional isomerism. The conditions are also not suitable for ring formation because it contains only single bonds and the number of hydrogen required in a ring will be 12 and not 14. The structural isomerism of are as follow:
Hence, the correct option is option C.
Note:
There are two types of isomerism: structural isomerism and stereoisomerism. Stereoisomerism is those isomers in which the molecules differ in the arrangement of atoms in space, i.e. 3D arrangement. They include R-S configuration, cis and trans isomers etc.
Recently Updated Pages
Why are manures considered better than fertilizers class 11 biology CBSE

Find the coordinates of the midpoint of the line segment class 11 maths CBSE

Distinguish between static friction limiting friction class 11 physics CBSE

The Chairman of the constituent Assembly was A Jawaharlal class 11 social science CBSE

The first National Commission on Labour NCL submitted class 11 social science CBSE

Number of all subshell of n + l 7 is A 4 B 5 C 6 D class 11 chemistry CBSE

Trending doubts
What is meant by exothermic and endothermic reactions class 11 chemistry CBSE

10 examples of friction in our daily life

One Metric ton is equal to kg A 10000 B 1000 C 100 class 11 physics CBSE

1 Quintal is equal to a 110 kg b 10 kg c 100kg d 1000 class 11 physics CBSE

Difference Between Prokaryotic Cells and Eukaryotic Cells

What are Quantum numbers Explain the quantum number class 11 chemistry CBSE

