
The number of hydrogen bonds between Guanine and Cytosine; and between Adenine and Thymine in DNA are:
A.${ 1,2 }$
B.${ 3,2 }$
C.${ 3,1 }$
D.${ 2,1 }$
Answer
583.5k+ views
Hint: Nucleic acids are organic atoms basic for known types of life on this planet; they incorporate DNA (deoxyribonucleic acid) and RNA (ribonucleic acid). Along with proteins, nucleic acids are the most significant organic macromolecules; each is found in abundance in every living thing, where they work in encoding, communicating, and expressing hereditary data.
Complete answer:
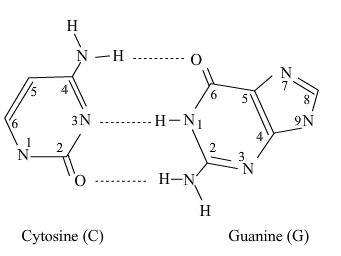
The guanine forms three hydrogen bonds with the cytosine because, In cytosine, the amino group acts as the hydrogen bond donor and the C-2 carbonyl and the N-3 amine as the hydrogen-bond acceptors and in Guanine the group at C-6 acts as the hydrogen bond acceptor, while the group at N-1 and the amino group at C-2 act as the hydrogen bond donors.
The adenine forms two hydrogen bonds with the thymine as the only group at N-3 and carbonyl group at C-4 in Thymine form the hydrogen bond with the amino group at C-6 and group at N-1 of the adenine.
Therefore, the number of hydrogen bonds between Guanine and Cytosine; and between Adenine and Thymine in DNA are ${ 3 }$ and ${ 2 }$ respectively.
Hence, the correct option is B.
Note: The possibility to make a mistake is that Guanine always makes a pair with Cytosine and Adenine with Thymine whereas in RNA Adenine makes a bond with Uracil, not Thymine.
Complete answer:
The guanine forms three hydrogen bonds with the cytosine because, In cytosine, the amino group acts as the hydrogen bond donor and the C-2 carbonyl and the N-3 amine as the hydrogen-bond acceptors and in Guanine the group at C-6 acts as the hydrogen bond acceptor, while the group at N-1 and the amino group at C-2 act as the hydrogen bond donors.
The adenine forms two hydrogen bonds with the thymine as the only group at N-3 and carbonyl group at C-4 in Thymine form the hydrogen bond with the amino group at C-6 and group at N-1 of the adenine.
Therefore, the number of hydrogen bonds between Guanine and Cytosine; and between Adenine and Thymine in DNA are ${ 3 }$ and ${ 2 }$ respectively.
Hence, the correct option is B.
Note: The possibility to make a mistake is that Guanine always makes a pair with Cytosine and Adenine with Thymine whereas in RNA Adenine makes a bond with Uracil, not Thymine.
Recently Updated Pages
A man running at a speed 5 ms is viewed in the side class 12 physics CBSE

State and explain Hardy Weinbergs Principle class 12 biology CBSE

Which of the following statements is wrong a Amnion class 12 biology CBSE

Two Planoconcave lenses 1 and 2 of glass of refractive class 12 physics CBSE

The compound 2 methyl 2 butene on reaction with NaIO4 class 12 chemistry CBSE

Bacterial cell wall is made up of A Cellulose B Hemicellulose class 12 biology CBSE

Trending doubts
What are the major means of transport Explain each class 12 social science CBSE

Which are the Top 10 Largest Countries of the World?

Draw a labelled sketch of the human eye class 12 physics CBSE

Explain sex determination in humans with line diag class 12 biology CBSE

The pH of the pancreatic juice is A 64 B 86 C 120 D class 12 biology CBSE

Give 10 examples of unisexual and bisexual flowers

