
The no. of P – O – P bond (s) in cyclic metaphosphoric acid is (are):
A. 0
B. 2
C. 3
D. 4
Answer
596.1k+ views
Hint- To find the number of bonds in cyclic metaphosphoric acid, refer to the structure of the given acid and then find the number of P – O – P bonds.
Complete answer:
We have been given to find the number of P – O – P bonds in the cyclic metaphosphoric acid.
So, let us first draw the structure of the given acid.
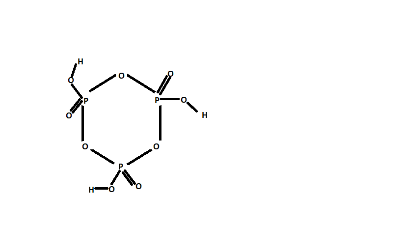
Refer the figure below to know the structure-
The figure shows the structure of cyclic meta phosphoric acid.
Now, as we can see that the above structure has P – O – P bond, P=O bond and P – O – H bonds.
So, if we count then the number of P – O – P bonds are three (See in the figure)
Hence, the number of P – O – P bonds in the structure of cyclic metaphosphoric acid is three.
Therefore, the correct option is C.
Note – Whenever it is asked to tell the number of bonds of any acid or compound then always first draw the structure of that compound and then as we can see the given structure has 3 P – O – P bonds, 3 P = O bonds and 3 P – O – H bonds.
Complete answer:
We have been given to find the number of P – O – P bonds in the cyclic metaphosphoric acid.
So, let us first draw the structure of the given acid.
Refer the figure below to know the structure-
The figure shows the structure of cyclic meta phosphoric acid.
Now, as we can see that the above structure has P – O – P bond, P=O bond and P – O – H bonds.
So, if we count then the number of P – O – P bonds are three (See in the figure)
Hence, the number of P – O – P bonds in the structure of cyclic metaphosphoric acid is three.
Therefore, the correct option is C.
Note – Whenever it is asked to tell the number of bonds of any acid or compound then always first draw the structure of that compound and then as we can see the given structure has 3 P – O – P bonds, 3 P = O bonds and 3 P – O – H bonds.
Recently Updated Pages
Why are manures considered better than fertilizers class 11 biology CBSE

Find the coordinates of the midpoint of the line segment class 11 maths CBSE

Distinguish between static friction limiting friction class 11 physics CBSE

The Chairman of the constituent Assembly was A Jawaharlal class 11 social science CBSE

The first National Commission on Labour NCL submitted class 11 social science CBSE

Number of all subshell of n + l 7 is A 4 B 5 C 6 D class 11 chemistry CBSE

Trending doubts
Differentiate between an exothermic and an endothermic class 11 chemistry CBSE

10 examples of friction in our daily life

One Metric ton is equal to kg A 10000 B 1000 C 100 class 11 physics CBSE

Difference Between Prokaryotic Cells and Eukaryotic Cells

1 Quintal is equal to a 110 kg b 10 kg c 100kg d 1000 class 11 physics CBSE

State the laws of reflection of light

