
The IUPAC name of the following structure is
${[C{H_3}CH(C{H_3})]_2}C(C{H_2}C{H_3})C(C{H_3})C(C{H_2}C{H_3})$
A) 3,5-Diethyl-4,6-dimethyl-5-[1-methylethyl]hept-3-ene
B) 3,5-Diethyl-5-isopropyl-4,6-dimethylhept-2-ene
C) 3,5-Diethyl-5-propyl-4,6-dimethylhept-3-ne
D) None of these
Answer
563.7k+ views
Hint: First you need to draw the branched chemical structure of the given compound. Then, identify the parent chain (the longest carbon chain), all the substituents and functional groups present in the structure. Recall the rules used for naming the branched molecules.
Complete step by step solution:
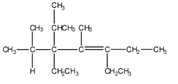
The given compound is ${[C{H_3}CH(C{H_3})]_2}C(C{H_2}C{H_3})C(C{H_3})C(C{H_2}C{H_3})$.
The chemical structure of given compound can be drawn as:
We can see some branched chains in the above structure. The required rules which you must know for naming the naming the branched compounds are:
- First of all the longest carbon chain in the molecule is identified. This is known as the parent chain.
- The numbering of the carbon atoms is done in such a way that the branched carbon atoms get the lowest possible numbers.
- The name of alkyl groups attached as the branch are named as prefixes to the parent chain and position of the substituents is indicated by the appropriate numbers. If different alkyl groups are present then, they are listed in alphabetical order.
- If two or more identical substituents are present then the numbers are separated by the commas.
- If a functional group is present in the chain, then it is identified by the appropriate suffix. The parent chain containing the functional group is numbered in such a way that it is attached to the carbon atom possessing lowest possible numbering.
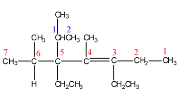
Now, numbering of the above drawn structure can be done as:
There is a $C = C$ functional group present in the ring, which will be named by suffix ‘ene’. The longest chain containing the functional group has 7 carbon atoms (shown with red-coloured digits); hence, the parent chain is heptane. But, because of the $C = C$ functional group at carbon 3, the parent chain will be named with the suffix ‘3-heptene’. Now, further branching at carbon 5 is numbered with blue-coloured digits. Thus, at carbon 5, numbering of above branching will be done as 5-[1-methylethyl]. At carbon 3 and 5, there is the same substituent present, that is, ethyl group and, at carbon 4 and 6, the same substituent present is methyl group. In summary, we get the IUPAC name of the given structure as: 3,5-Diethyl-4,6-dimethyl-5-[1-methylethyl]hept-3-ene.
Thus, option A is correct.
Note: While writing the IUPAC naming there must be no gap between the prefix and suffix naming. The names of the identical substituents are not repeated, instead prefixes such as di (for 2), tri (for 3) etc. are used. Ethyl comes before in alphabetical order than methyl so it is written first before in the naming of given compounds and also a point to notice is that prefix like ‘di’ is not considered while writing naming in alphabetical order.
Complete step by step solution:
The given compound is ${[C{H_3}CH(C{H_3})]_2}C(C{H_2}C{H_3})C(C{H_3})C(C{H_2}C{H_3})$.
The chemical structure of given compound can be drawn as:
We can see some branched chains in the above structure. The required rules which you must know for naming the naming the branched compounds are:
- First of all the longest carbon chain in the molecule is identified. This is known as the parent chain.
- The numbering of the carbon atoms is done in such a way that the branched carbon atoms get the lowest possible numbers.
- The name of alkyl groups attached as the branch are named as prefixes to the parent chain and position of the substituents is indicated by the appropriate numbers. If different alkyl groups are present then, they are listed in alphabetical order.
- If two or more identical substituents are present then the numbers are separated by the commas.
- If a functional group is present in the chain, then it is identified by the appropriate suffix. The parent chain containing the functional group is numbered in such a way that it is attached to the carbon atom possessing lowest possible numbering.
Now, numbering of the above drawn structure can be done as:
There is a $C = C$ functional group present in the ring, which will be named by suffix ‘ene’. The longest chain containing the functional group has 7 carbon atoms (shown with red-coloured digits); hence, the parent chain is heptane. But, because of the $C = C$ functional group at carbon 3, the parent chain will be named with the suffix ‘3-heptene’. Now, further branching at carbon 5 is numbered with blue-coloured digits. Thus, at carbon 5, numbering of above branching will be done as 5-[1-methylethyl]. At carbon 3 and 5, there is the same substituent present, that is, ethyl group and, at carbon 4 and 6, the same substituent present is methyl group. In summary, we get the IUPAC name of the given structure as: 3,5-Diethyl-4,6-dimethyl-5-[1-methylethyl]hept-3-ene.
Thus, option A is correct.
Note: While writing the IUPAC naming there must be no gap between the prefix and suffix naming. The names of the identical substituents are not repeated, instead prefixes such as di (for 2), tri (for 3) etc. are used. Ethyl comes before in alphabetical order than methyl so it is written first before in the naming of given compounds and also a point to notice is that prefix like ‘di’ is not considered while writing naming in alphabetical order.
Recently Updated Pages
Why are manures considered better than fertilizers class 11 biology CBSE

Find the coordinates of the midpoint of the line segment class 11 maths CBSE

Distinguish between static friction limiting friction class 11 physics CBSE

The Chairman of the constituent Assembly was A Jawaharlal class 11 social science CBSE

The first National Commission on Labour NCL submitted class 11 social science CBSE

Number of all subshell of n + l 7 is A 4 B 5 C 6 D class 11 chemistry CBSE

Trending doubts
What is meant by exothermic and endothermic reactions class 11 chemistry CBSE

10 examples of friction in our daily life

One Metric ton is equal to kg A 10000 B 1000 C 100 class 11 physics CBSE

1 Quintal is equal to a 110 kg b 10 kg c 100kg d 1000 class 11 physics CBSE

Difference Between Prokaryotic Cells and Eukaryotic Cells

What are Quantum numbers Explain the quantum number class 11 chemistry CBSE

