
The free radical which is most stable is:
(A)- $C{{H}_{2}}=CH-\dot{C}{{H}_{2}}$
(B)-
(C)- ${{({{H}_{3}}C)}_{3}}C\cdot $
(D)- $\cdot {{C}_{2}}{{H}_{5}}$
Answer
515.7k+ views
Hint: The species containing an unpaired or odd electron are called free radicals. Stability of free radicals depends on the extent of delocalization of the odd electron. Greater the delocalization of the unpaired electron more is the stability of the free radical.
Complete answer:
Free radicals are very reactive intermediates resulting due to homolytic cleavage of bonds. Depending on the type of carbon bearing the unpaired electron, free radicals can be primary (${{1}^{o}}$), secondary (${{2}^{o}}$) and tertiary (${{3}^{o}}$).
Alkyl free radicals are stabilized by hyperconjugation of methyl groups attached.
We can say that when a greater number of alkyl groups are attached to the carbon containing the free electron, more such hyperconjugation structures are possible, hence, more stable is the free radical.
Therefore, tertiary free radicals are more stable than secondary followed by primary, i.e. ${{3}^{o}} > {{2}^{o}} > {{1}^{o}}$
Based on the above argument we can now say that $\cdot {{C}_{2}}{{H}_{5}}$ (${{1}^{o}}$ free radical) is less stable than ${{({{H}_{3}}C)}_{3}}C\cdot $(${{3}^{o}}$ free radical).
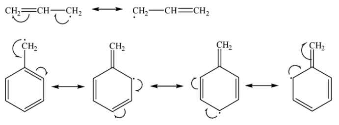
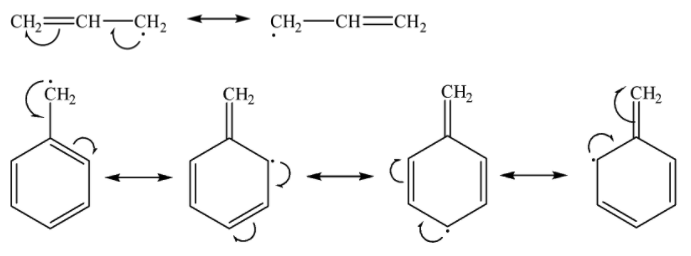
Allyl and benzyl free radicals are exceptionally stable as they are stabilized by resonance.
We know that more the number of resonating structures, greater is the stability. Since the number of resonating structures for benzyl free radical is more than that of allyl free radical as shown below, benzyl free radical is more stable than allyl free radical.
Now it is clear that the stability of $\cdot {{C}_{2}}{{H}_{5}}$ is less than ${{({{H}_{3}}C)}_{3}}C\cdot $ and the stability of both these alkyl free radicals is less than allyl. Allyl radical is in turn less stable than benzyl free radical.
Therefore, the most stable free radical is benzyl free radical.
Hence the correct option is (B).
Note:
Resonance effect is stronger than hyperconjugation. Resonance is directly related to stability. That is why though benzyl is a primary free radical yet it is more stable than tertiary alkyl free radical because it is stabilized by resonance whereas tertiary alkyl free radical is stabilized by hyperconjugation.
Complete answer:
Free radicals are very reactive intermediates resulting due to homolytic cleavage of bonds. Depending on the type of carbon bearing the unpaired electron, free radicals can be primary (${{1}^{o}}$), secondary (${{2}^{o}}$) and tertiary (${{3}^{o}}$).
Alkyl free radicals are stabilized by hyperconjugation of methyl groups attached.
We can say that when a greater number of alkyl groups are attached to the carbon containing the free electron, more such hyperconjugation structures are possible, hence, more stable is the free radical.
Therefore, tertiary free radicals are more stable than secondary followed by primary, i.e. ${{3}^{o}} > {{2}^{o}} > {{1}^{o}}$
Based on the above argument we can now say that $\cdot {{C}_{2}}{{H}_{5}}$ (${{1}^{o}}$ free radical) is less stable than ${{({{H}_{3}}C)}_{3}}C\cdot $(${{3}^{o}}$ free radical).
Allyl and benzyl free radicals are exceptionally stable as they are stabilized by resonance.
We know that more the number of resonating structures, greater is the stability. Since the number of resonating structures for benzyl free radical is more than that of allyl free radical as shown below, benzyl free radical is more stable than allyl free radical.
Now it is clear that the stability of $\cdot {{C}_{2}}{{H}_{5}}$ is less than ${{({{H}_{3}}C)}_{3}}C\cdot $ and the stability of both these alkyl free radicals is less than allyl. Allyl radical is in turn less stable than benzyl free radical.
Therefore, the most stable free radical is benzyl free radical.
Hence the correct option is (B).
Note:
Resonance effect is stronger than hyperconjugation. Resonance is directly related to stability. That is why though benzyl is a primary free radical yet it is more stable than tertiary alkyl free radical because it is stabilized by resonance whereas tertiary alkyl free radical is stabilized by hyperconjugation.
Recently Updated Pages
Why are manures considered better than fertilizers class 11 biology CBSE

Find the coordinates of the midpoint of the line segment class 11 maths CBSE

Distinguish between static friction limiting friction class 11 physics CBSE

The Chairman of the constituent Assembly was A Jawaharlal class 11 social science CBSE

The first National Commission on Labour NCL submitted class 11 social science CBSE

Number of all subshell of n + l 7 is A 4 B 5 C 6 D class 11 chemistry CBSE

Trending doubts
1 Quintal is equal to a 110 kg b 10 kg c 100kg d 1000 class 11 physics CBSE

Why is steel more elastic than rubber class 11 physics CBSE

What is boron A Nonmetal B Metal C Metalloid D All class 11 chemistry CBSE

Bond order ofO2 O2+ O2 and O22 is in order A O2 langle class 11 chemistry CBSE

Discuss the various forms of bacteria class 11 biology CBSE

What is the difference between biodegradable and nonbiodegradable class 11 biology CBSE

