
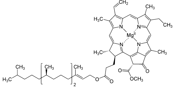
The empirical formula for chlorophyll a is
A. ${C_{35}}{H_{72}}{O_5}{N_4}Mg$
B. ${C_{65}}{H_{70}}{O_6}{N_4}Mg$
C. ${C_{55}}{H_{72}}{O_5}{N_4}Mg$
D. ${C_{45}}{H_{70}}{O_6}{N_4}Mg$
Answer
552.9k+ views
Hint: Chlorophyll is a green coloured pigment found in the leaves which helps in the photosynthesis. Chlorophyll a and b are the two types of chlorophyll. The structure has a porphyrin ring joined to a phytol ring.
Complete answer:
Photosynthesis is the process in which light energy is transformed into chemical energy. Chlorophyll is the essential pigment which helps in the photosynthesis. It is present in green plants, cyanobacteria etc.
It achieves the energy from sunlight and by this energy carbon dioxide is converted to carbohydrates.
Chlorophyll is enclosed in the thylakoid membrane of chloroplast. Chlorophyll is the derivative of porphyrin with magnesium at the core.
In 1817 Joseph Bienaime and Caventou identified chlorophyll. Formula of chlorophyll is ${C_{55}}{H_{72}}{O_6}{N_4}Mg$.
Chlorophyll is vital for photosynthesis and absorbs sunlight and transfers it to other parts of the photosystem. Chlorophylls are of numerous types such as chlorophyll a,b, c and d.
But the most widely distributed form of chlorophyll in plants is chlorophyll due to which plants majorly show green colouration.
Chlorophyll a is insoluble in water and is the primary pigment for the process of photosynthesis. All organisms that perform photosynthesis contain essential chlorophyll a. Chlorophyll a is a specific form which is generally used in oxygenic photosynthesis.
Hence, the correct answer is option (C).
Note: The colours of the leaves is not due to a single pigment but due to four pigments chlorophyll a which gives blue green colour, chlorophyll b which gives yellow green colour, xanthophylls which gave yellow colour and carotenoids which gave yellow to yellow orange colour.
Complete answer:
Photosynthesis is the process in which light energy is transformed into chemical energy. Chlorophyll is the essential pigment which helps in the photosynthesis. It is present in green plants, cyanobacteria etc.
It achieves the energy from sunlight and by this energy carbon dioxide is converted to carbohydrates.
Chlorophyll is enclosed in the thylakoid membrane of chloroplast. Chlorophyll is the derivative of porphyrin with magnesium at the core.
In 1817 Joseph Bienaime and Caventou identified chlorophyll. Formula of chlorophyll is ${C_{55}}{H_{72}}{O_6}{N_4}Mg$.
Chlorophyll is vital for photosynthesis and absorbs sunlight and transfers it to other parts of the photosystem. Chlorophylls are of numerous types such as chlorophyll a,b, c and d.
But the most widely distributed form of chlorophyll in plants is chlorophyll due to which plants majorly show green colouration.
Chlorophyll a is insoluble in water and is the primary pigment for the process of photosynthesis. All organisms that perform photosynthesis contain essential chlorophyll a. Chlorophyll a is a specific form which is generally used in oxygenic photosynthesis.
Hence, the correct answer is option (C).
Note: The colours of the leaves is not due to a single pigment but due to four pigments chlorophyll a which gives blue green colour, chlorophyll b which gives yellow green colour, xanthophylls which gave yellow colour and carotenoids which gave yellow to yellow orange colour.
Recently Updated Pages
Why are manures considered better than fertilizers class 11 biology CBSE

Find the coordinates of the midpoint of the line segment class 11 maths CBSE

Distinguish between static friction limiting friction class 11 physics CBSE

The Chairman of the constituent Assembly was A Jawaharlal class 11 social science CBSE

The first National Commission on Labour NCL submitted class 11 social science CBSE

Number of all subshell of n + l 7 is A 4 B 5 C 6 D class 11 chemistry CBSE

Trending doubts
1 Quintal is equal to a 110 kg b 10 kg c 100kg d 1000 class 11 physics CBSE

Why is steel more elastic than rubber class 11 physics CBSE

What is boron A Nonmetal B Metal C Metalloid D All class 11 chemistry CBSE

Bond order ofO2 O2+ O2 and O22 is in order A O2 langle class 11 chemistry CBSE

Discuss the various forms of bacteria class 11 biology CBSE

What is the difference between biodegradable and nonbiodegradable class 11 biology CBSE

