
The below reaction is called
a.Reimer-Tiemann reaction
b.Cannizzaro reaction
c.Rosenmund reaction
d.Reformatsky reaction
Answer
466.2k+ views
Hint: To answer this question we will first know about each of the following reactions. These reactions play a major and vital role in organic chemistry. They are named after the chemist who gave these reactions.
Complete answer:
In order to get the answer, we will define each of the naming reactions mentioned above.
a.Reimer-Tiemann Reaction: Reimer-Tiemann reaction is named after chemists Karl Reimer and Ferdinand Tiemann. In this reaction, we used phenols and chloroform. In the presence of sodium hydroxide, phenol reacts with chloroform to form an aldehyde group at the ortho position of the benzene ring which leads to the formation of o-hydroxybenzaldehyde. The Reimer-Tiemann reaction is shown below:
Thus, this option is not correct.
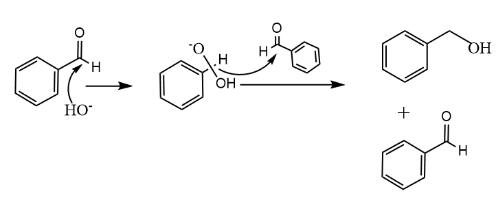
b.Cannizzaro reaction: Cannizzaro reaction is an organic reaction named after Stanislao Cannizzaro. The two molecules of a non-enolizable aldehyde undergo the base-induced disproportionation to form a carboxylic acid and a primary alcohol. The reaction is:
This option is also not correct.
c.Rosenmund reaction: Rosenmund Reduction Mechanism was first reported by Karl Wilhelm Rosenmund. For the formation of aldehydes, acid chlorides are passed by hydrogen gas and palladium poisoned by barium sulphate. The reaction is as follows:
Thus this option is correct.
d.Reformatsky reaction: This reaction is named after chemist Sergey Nikolaevich Reformatsky who first reported this reaction. In this reaction, halo ester reacts with aldehyde or ketone in the presence of zinc to form the hydroxy ester. Thus the reaction is:
So this option is also not correct.
Note:
We used common poisons so we can limit the activity of palladium in the Rosenmund technique. This common poison that we used in the Rosamund reaction is thioquinanthrene and thiourea.
Complete answer:
In order to get the answer, we will define each of the naming reactions mentioned above.
a.Reimer-Tiemann Reaction: Reimer-Tiemann reaction is named after chemists Karl Reimer and Ferdinand Tiemann. In this reaction, we used phenols and chloroform. In the presence of sodium hydroxide, phenol reacts with chloroform to form an aldehyde group at the ortho position of the benzene ring which leads to the formation of o-hydroxybenzaldehyde. The Reimer-Tiemann reaction is shown below:
Thus, this option is not correct.
b.Cannizzaro reaction: Cannizzaro reaction is an organic reaction named after Stanislao Cannizzaro. The two molecules of a non-enolizable aldehyde undergo the base-induced disproportionation to form a carboxylic acid and a primary alcohol. The reaction is:
This option is also not correct.
c.Rosenmund reaction: Rosenmund Reduction Mechanism was first reported by Karl Wilhelm Rosenmund. For the formation of aldehydes, acid chlorides are passed by hydrogen gas and palladium poisoned by barium sulphate. The reaction is as follows:
Thus this option is correct.
d.Reformatsky reaction: This reaction is named after chemist Sergey Nikolaevich Reformatsky who first reported this reaction. In this reaction, halo ester reacts with aldehyde or ketone in the presence of zinc to form the hydroxy ester. Thus the reaction is:
So this option is also not correct.
Note:
We used common poisons so we can limit the activity of palladium in the Rosenmund technique. This common poison that we used in the Rosamund reaction is thioquinanthrene and thiourea.
Recently Updated Pages
Why are manures considered better than fertilizers class 11 biology CBSE

Find the coordinates of the midpoint of the line segment class 11 maths CBSE

Distinguish between static friction limiting friction class 11 physics CBSE

The Chairman of the constituent Assembly was A Jawaharlal class 11 social science CBSE

The first National Commission on Labour NCL submitted class 11 social science CBSE

Number of all subshell of n + l 7 is A 4 B 5 C 6 D class 11 chemistry CBSE

Trending doubts
10 examples of friction in our daily life

One Metric ton is equal to kg A 10000 B 1000 C 100 class 11 physics CBSE

Difference Between Prokaryotic Cells and Eukaryotic Cells

1 Quintal is equal to a 110 kg b 10 kg c 100kg d 1000 class 11 physics CBSE

State the laws of reflection of light

Explain zero factorial class 11 maths CBSE

