
Study the graph below showing the position of three runners, Manju, Pankaj and Ranjeet at two different times.
Who has run the fastest in between the 2nd and 4th minute?
Answer
568.5k+ views
Hint: Here we have to check who has run the fastest. For that, we will first find the distance covered by Manju, Pankaj and Ranjeet in the 2nd minute and then find the distance covered by Manju, Pankaj and Ranjeet in the 4th minute. We will calculate the difference of their respective distances covered in the 2nd minute and 4th minute. The more the difference of their distance, the faster the distance covered.
Complete step-by-step answer:
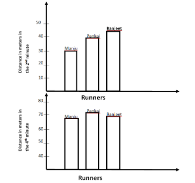
We will first find the distance covered by Manju in the 2nd minute.
We can see from the graph that the distance covered by Manju in the 2nd minute is 30 m.
Now, we will find the distance covered by Pankaj in the 2nd minute.
We can see from the graph that the distance covered by Pankaj in the 2nd minute is 40 m.
We will first find the distance covered by Ranjeet in the 2nd minute.
We can see from the graph that the distance covered by Ranjeet in the 2nd minute is 45 m.
Now, we will find the distance covered by Manju in the 4th minute.
We can see from the graph that the distance covered by Manju in the 4th minute is 68 m.
Now, we will find the distance covered by Pankaj in the 4th minute.
We can see from the graph that the distance covered by Pankaj in the 4th minute is 70 m.
We will first find the distance covered by Ranjeet in the 4th minute.
We can see from the graph that the distance covered by Ranjeet in the 4th minute is 69 m.
Now, we will calculate the distance covered by Manju between 2nd and 4th minute by subtracting them.
Distance covered between 2nd and 4th minute $68-30=38m$
Now, we will calculate the distance covered by Pankaj between 2nd and 4th minute by subtracting them.
Distance covered between 2nd and 4th minute $70-40=30m$
Now, we will calculate the distance covered by Ranjeet between 2nd and 4th minute by subtracting them.
Distance covered between 2nd and 4th minute $69-45=24m$
Thus, distance covered Manju between 2nd and 4th minute is more than Pankaj and Ranjeet.
Therefore, Manju has run the fastest in between the 2nd and 4th minute.
Note: The bar graph shown above is known as vertical bar graph. Here the grouped data are represented vertically in a graph with the help of bars, where the bars represent the measure of data, and thus such graphs are called vertical bar graphs.
Complete step-by-step answer:
We will first find the distance covered by Manju in the 2nd minute.
We can see from the graph that the distance covered by Manju in the 2nd minute is 30 m.
Now, we will find the distance covered by Pankaj in the 2nd minute.
We can see from the graph that the distance covered by Pankaj in the 2nd minute is 40 m.
We will first find the distance covered by Ranjeet in the 2nd minute.
We can see from the graph that the distance covered by Ranjeet in the 2nd minute is 45 m.
Now, we will find the distance covered by Manju in the 4th minute.
We can see from the graph that the distance covered by Manju in the 4th minute is 68 m.
Now, we will find the distance covered by Pankaj in the 4th minute.
We can see from the graph that the distance covered by Pankaj in the 4th minute is 70 m.
We will first find the distance covered by Ranjeet in the 4th minute.
We can see from the graph that the distance covered by Ranjeet in the 4th minute is 69 m.
Now, we will calculate the distance covered by Manju between 2nd and 4th minute by subtracting them.
Distance covered between 2nd and 4th minute $68-30=38m$
Now, we will calculate the distance covered by Pankaj between 2nd and 4th minute by subtracting them.
Distance covered between 2nd and 4th minute $70-40=30m$
Now, we will calculate the distance covered by Ranjeet between 2nd and 4th minute by subtracting them.
Distance covered between 2nd and 4th minute $69-45=24m$
Thus, distance covered Manju between 2nd and 4th minute is more than Pankaj and Ranjeet.
Therefore, Manju has run the fastest in between the 2nd and 4th minute.
Note: The bar graph shown above is known as vertical bar graph. Here the grouped data are represented vertically in a graph with the help of bars, where the bars represent the measure of data, and thus such graphs are called vertical bar graphs.
Recently Updated Pages
Two men on either side of the cliff 90m height observe class 10 maths CBSE

Cutting of the Chinese melon means A The business and class 10 social science CBSE

Show an aquatic food chain using the following organisms class 10 biology CBSE

How is gypsum formed class 10 chemistry CBSE

If the line 3x + 4y 24 0 intersects the xaxis at t-class-10-maths-CBSE

Sugar present in DNA is A Heptose B Hexone C Tetrose class 10 biology CBSE

Trending doubts
The average rainfall in India is A 105cm B 90cm C 120cm class 10 biology CBSE

Why is there a time difference of about 5 hours between class 10 social science CBSE

What is the median of the first 10 natural numbers class 10 maths CBSE

Indias first jute mill was established in 1854 in A class 10 social science CBSE

Indias first jute mill was established in 1854 in A class 10 social science CBSE

Write a letter to the principal requesting him to grant class 10 english CBSE

